Que tal, podrian ayudarme con el siguiente ejercicio? Hallar la ecuación de la circunferencia que sea tangente a los ejes coordenados, cuyo centro este en la recta 2x - 5y + 21 = 0, ¿cuantas soluciones hay?
hola, buenas. me ayudan con un problema de calculo , trata de sucesiones
quisiera saber como calcular el limite de an y que es lo que tengo que hacer con a1 y an+1
Hola, buenas. Alguien podría decirme si estoy realizando bien el procedimiento? El problema dice:
"Encuentre una expresión regular que acepte como lenguaje el conjunto de cadenas de texto plano que NO contienen a la palabra end"
Lo que hice primero que nada fue el autómata:
Y después lo pasé a una ER:
Estoy realizando bien el procedimiento?
¡Hola! Nos encantaría ayudarte, pero no solemos responder dudas universitarias que no tengan que ver específicamente con los vídeos que David Calle ha grabado como excepción. O de otras asignaturas que no sean Matemáticas, Física y Química. Lo sentimos de corazón… Esperamos que lo entiendas.
Ojalá algún unicoo universitario se anime a ayudarte (de hecho, lo ideal es que todos los universitarios intentarais ayudaros los unos a los otros).
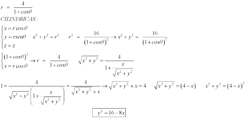
r = 4/(1+cosθ) φ = (2senΦ)/(cosecθ)
Buenas tardes, tengo problemas para pasar estas ecuaciones expresadas en cilíndricas y esféricas a cartesianas. No estoy seguro si ayudan en este tema en concreto, pero busqué un montón de videos para practicar y no hay nada que me ayude ya que son muy fáciles o simplemente no hay... En fín, estaría muy agradecido si aunque sea me dan una pista, sino gracias igualmente!.
Hola, Buenas tardes!!! Tengo una duda puntual:
Al resolver √(2x^2-1)=√(x), me quedan dos soluciones: x_1=1, x_2=-1/2... Al comprobar la primera solución, no hay problema; sin embargo, al comprobar la segunda: me arroja una afirmación verdadera, pero de números complejos → √(-1/2)=√(-1/2)...
Mi pregunta es si realmente puedo incluir a x_2 como solución de la ecuación...
MIL GRACIAS!!!
Hola!!
Necesitaria resolver el siguiente ejercicio: encontrar los Maximos y mínimos de la siguiente función:
(5x-8)e^x
graxias !!

Teoría: (f*g)' = f'g + fg'
(f(x))' = 5ex + (5x-8)ex = ex(5 + 5x -8) = ex(5x -3)
Los máximos y/o mínimos se encuentran donde f' es 0, entonces:
ex(5x -3) = 0 => 5x-3 = 0 => x = 3/5
Si el signo de f' cambia de - a + es un mínimo, si cambia de + a - es un máximo.
El signo de f' es - | + => x = 3/5 es un mínimo.