hola necesito ayuda con este ejercicio de calculo; tengo que hallar la opción verdadera, me gustaría saber que criterio usaron para elegir su respuesta

a, b y c son verdaderos.
En los máximos y mínimos f' = 0.
f'(-1) = 0 => b es verdadero.
f'(3) = 0, f'(a) es la pendiente de la recta tangente al gráfico en x = a, una recta con pendiente igual a 0 es una recta horizontal. En x = 3, la tangente es horizontal. => c es verdadero.
En toda función continua, hay al menos 1 punto de inflexión entre un máximo y un mínimo local. Podrían haber mas, pero al menos 1 tiene. = > a es verdadero.
Se puede asegurar, por ser una función continua y tener un valor de x negativo y otro positivo que f corta al eje y, pero de los datos no se puede asegurar que corte al eje x. f podría ser positiva para todo x => No se puede decir que d sea verdadero.

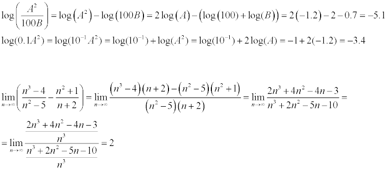
Definición: loga(b) = c <=> ac = b
Propiedades: a*log(b) = log(ab) log(a*b) = log(a) + log(b) log(a/b) = log(a) - log(b) (en cualquier base del logaritmo).
a) log3 (9a) = log3(9) + log3(a) = log3(32) + log3(a) = 2 log3(3) + log3 (a) = 2 + 0.8 = 2.8
b) log3(a/27) = log3(a) - log3(27) = log3(a) - log3(33) = log3(a) - 3 log3(3) = 0.8 - 3 = -2.2
c) log3(3) = 1
d) log3(√a) = log3 (a1/2) = ½ log3(a) = ½ 0.8 = 0.4
e) log3(1) = log3 (a/a) = log3 (a) - log3 (a) = 0
Os comento este ejercicio de Mates financieras compis.
El Spar de la avenida de escaleritas tiene concertada con la oficina de la Caixa una línea de descuento. El día 9 de noviembre de 2017 procede a la entrega en el banco de una remesa de efectos para ser descontados. Calcule el valor líqido efectivo de la remesa de efectos, sabiendo que el primer efecto está aceptado; no así los dos últimos. Año comercial. El tipo de descuento que aplica la Caixa en función del número de días de descuento ( mínimo: 14 días).
Dibuje la línea del tiempo de cada efecto.
Gracias de antemano.