Buenas tengo este problema de electromagnetismo Un conductor transporta una corriente I y se dobla de acuerdo a la figura. Determinar el campo magnético B en el punto P. intente hacerlo pero no puedo no entiendo bien el ejercicio alguien me puede ayudar por favor
esta es la grafica del ejercicio
p { margin-bottom: 0.25cm; direction: ltr; line-height: 115%; text-align: left; }p.western { font-family: "Calibri", serif; }p.cjk { font-family: "Times New Roman"; }p.ctl { font-family: "Times New Roman"; }
Hola, me podrían ayudar con este ejercicio. Supongo que es una fórmula pero no se cúal. Es de redes. Gracias!
Un cable de 1000 km es usado para
enviar tramas de 64 bytes a 2 Mbps usando el protocolo de repetición
selectiva (protocolo 6). Si la velocidad de propagación es de 3
μsec/km,
¿Cuántos bits deben tener los números de secuencia? Justifique su
respuesta.

Hola Marcos!
Intentare ayudarte aunque sabes que no solemos entrar en los ambitos de asignaturas universitarias.
Efectivamente son varias las expresiones que relacionan los parametros que indicas (hay un error en los 3micro seg/Km eso es tiempo de propagacion)
Para la repeticion selectiva se emplean VENTANAS para el control de flujo. El tamaño optimo de ventana W= Tc/tt
siendo Tc= tt +tack+2 tp
siendo tt el tiempo de trama, tack el tiempo de calculo de confirmacion de trama (que suele ser despreciable) y tp el tiempo de propagacion en el enlace (entre transmisor y receptor)
El numero de bits para enumerar las secuencias de los datagramas lo da la expresion 2n >=2*W
Calculando:
tt=Lt/Vt=8*64/2*106=2,56*10-4seg
tp=3*10-6*103=3*10-3seg
luego aplicando las formulas de arriba
Tc= 2,56*10-4+3*10-3=6,256*10-3 seg
luego W=9,546
luego n= 4,255 que al ser un numero entero n=5

Hola Pilar!
Como sabes desde Unicoos tratamos de ayudaros en vuestras tareas de aprendizaje, por eso siempre os decimos que nos mostreis vuestros resultados para ayudaros. No basta con que pongais los enunciados. Si os damos los problemas resueltos no los trabajais y no aprendeis.
Voy a explicarte como resolver este tipo de problemas:
- la ley de Ohm es la base que rige cualquier circuito electronico, por tanto debes comprenderla muy bien para acometer su resolucion. V=I*R es la ley de Ohm que se podria leer como la tension que cae en un elemento pasivo (que solo consume energia) de un circuito es igual al producto de su resistencia interna al pasdo de corriente multiplicado por ese resistencia interna.
- cuando nos dan circuitos formados por varias mallas (o lazos cerrados), por cada una de ellas podriamos especular que circula una corriente diferente, y en cada malla calcular esa corriente como la suma de las tensiones de los generadores que hay en esa malla igual a la suma de las tensiones que caen en esa malla. Habra que tener en cuenta si ambas tensiones favorecen o no el sentido de la corriente y en cada caso poner un signo positivo o negativo.
Mas explicaciones sobre esto lo puedes ver en mi contestacion el 9/5/19 a Yineth
- Dado que en este caso no hay mas que un generador y el resto del circuito son resistencias en serie o en paralelo es mas sencillo agruparlas para calcular la corriente total que sale del generador y luego calcular tensiones y corrientes en cada resistencia. Pero para ello tienes que comprender bien los conceptos de serie y paralelo (van en serie si la misma corriente atraviesa ambas resistencias y van en paralelo si la corriente es distinta en cada resistencia pero su tension es la misma).
Te pego una indicaciones para calcular todos las incognitas que te plantean.
La proxima vez aporta tus calculos!!!
Nos vemos!!!!!!!

El ejercicio 5 es muy parecido al anterior. Pero se puede abordar viendo que la resistencia de 3k esta directamente en paralelo con el generador de 15v luego puedes aplicar ohm y calcular la corriente que atraviesa esa resistencia (al conocer la tension y la resistencia). Igual sucede en las tres resistencias de 1k que estan en serie las tres, luego los 15v caeran en la suma de las tres resistencias luego asi obtendremos la corriente que pasa por las tres (la misma porque estan en serie). Y ya esta.
Fijate que la suma de las tres que estan en serie suma 3K que es lo mismo que la otra resistencia en paralelo, 3k. Por tanto te va a dar que por ambas ramas la corriente va a ser identica ya que al ver la misma resistencia por cada rama no va a tener preferencias por ninguna de las dos y sera identica en ambas ramas.
Hola buenas alguien me puede echar una mano? Gracias adelantadas.
La corriente que fluye en un circuito de un solo bucle viene dada por I (t) = cos (2t) A. Esta corriente induce y (f.em) en el circuito: εind = 10 ^ −3 sen (2t) V. la auto inductancia del circuito es?
Bueno yo al ver esta pregunta lo primero que me planteo es por qué las ecuaciones tienen esta forma y entonces pienso en ondas, lo cual creo que tiene sentido. el problema es que no se muy bien como tengo que operar con ellas si debo de calcular los Henrios. L = flujo magnetico / I.

Debe estar claro que si no hay variacion de señal en el tiempo (en este caso la corriente) no hay autoinduccion.
Debes conocer la expresion que relaciona autoinduccion L y fuerza eletromotriz ε:
ε=-L*dI/dt siendo I la corriente por la bobina
Como ves solo tienes que derivar la I que te dan e igualar a la ε del enunciado para obtener L.
Lo haces y veras que la solucion es d)
Nos vemos!!!!
Hola buenas, quería saber si este ejercicio está bien resuelto o no. Lo que me piden es un balance de potencias pero lo que más me interesa es ver si tanto las intensidades como el voltaje están bien calculados. Gracias de antemano. Un saludo!

Hola Sr.M!!!
Buenos dias! He revisado lo que has hecho y no, no esta bien. Te voy a hacer unas recomendaciones:
- Cuando marque el sentido de las corrientes que vas a analizar, intenta que tengan alguna logica. Me explico: si el sentido del generador de corriente es hacia el nodo, marca tu corriente de analisis I2 hacia el nodo de arriba, no al reves como has hecho. Luego del nodo las corrientes I1 e I3 podran ser salientes o entrantes ya no sabemos que generador prevalecera sobre el otro, pero debemos tener presente que la suma de las corrientes entrantes sera igual a las salientes.
- Una vez calculadas las corrientes resultara que algunas son de sentido contrario al inicalmente propuesto por nosotros, te recomiendo que vuelvas a dibujar el circuito con las corrientes en el sentido real de circulacion (el ya obtenido) y asi podras marcar el sentido real de las tensiones en el circuito. Y ahora podras deducir mejor otras tensiones, corrientes, etc... Si no te puedes liar facilmente con corrientes dibujadas y signos negativos ... Te pego el circuito con los sentidos reales de corrientes y tensiones y el calculo de la tension en el generador de corriente
- Otro aspecto importante: multiplicas resistencias en K ohm por corrientes en m Amp, eso esta bien y el resultado son Voltios (10 3 se cancela con 10 -3). Pero al calcular las potencias Voltios se multiplican por m Amperios y dan m Watios (NO watios!!!!). Aqui no se cancela nada!!!!!
- Por ultimo, las potencias son magnitudes sin signo, al menos en continua, en alterna veras que son vectores. Por eso te piden el balance de potencia entre lo que se entrega (da igual el signo de tension o corriente)y lo que se consume en los elementos pasivos.
De acuerdo?
Te pego la solucion y nos vemos!!!!
hola unicoos buen día. tengo este ejercicio que no lo entiendo muy bien me podrías explicarlo por favor, seria de gran ayuda ![]()

Hola Aleja!
El enunciado solo dice que un elemento de un circuito se carga a partir de cero segun una funcion variable y nos pide calcular la corriente que pasa por ese elemento. Lo ves?
Pues dado que la expresion de corriente en funcion de la carga es:
i(t)= d q(t)/dt, solo habra que derivar la funcion q(t) que te dan para obtener i(t), de acuerdo?
Nos vemos!!!!!
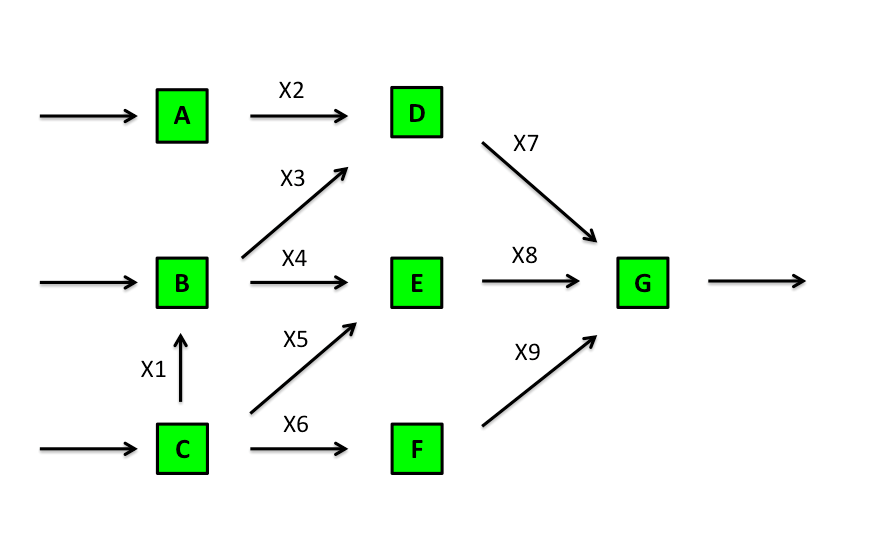
Hola,
estoy con este ejercicio y me esta volviendo loco.
Podéis ayudarme a plantearlo.
El esquema de la figura representa una res de repetidores en la que los datos se transmiten según la dirección y sentido marcados. Después de analizar un histórico de datos, se ha conseguido obtener información sobre la cantidad media , en MB Hora, de datos que se reciben o se envían desde cada nodo.
a) (2 puntos) Suponiendo una condición de equilibrio sobre el flujo de datos que atraviesa cada nodo (es decir, el flujo de datos que entra en cada nodo coincide con el flujo total de datos que sale de cada nodo) plantead, discutid y resolved el correspondiente sistema de ecuaciones.
b) (2 puntos) Cual debe ser el flujo de datos si, en un cierto momento, E deja de funcionar y el flujo de datos entra entre C y F es de 9000 MB.
Gracias
Hola alguien me puede echar una mano con esto? Gracias adelantadas.
El circuito en la figura se compone de una batería con un e.m.f. ε = 18 V y resistencia interna r = 2Ω, y dos resistencias, R1 = 12Ω y R2 = 6Ω, conectadas en paralelo con la batería. Determinar:
(a) La corriente que fluye a través de cada resistencia: r, R1, R2.
(b) La potencia entregada por la e.m.f. y la potencia entregada por la batería.
(c) La potencia disipada por cada resistencia.
(d) El balance de potencia del sistema (demuestre que se mantiene).
(e) El potencial eléctrico con respecto al suelo, en los puntos a, by c.

Hola Quiroga!!!
Este circuito se podria resolver tambien por Kirchoff o por nudos pero dado que las dos resitencias de carga van en paralelo he preferido resolverlo hayando su resistencia equivalente y una vez hayada la corriente que pasa por su resistencia equivalente, calcular la caida de tension y de ahi la corriente por cada una de ellas. Creo que es mas intuitivo y sencillo.
Te pego las imagenes y las explicaciones que creo que entenderas bien.
Nos vemos!!!!!
Hola! Estoy haciendo una página web en wordpress y quería poner un chat para que la gente pueda preguntar cosas como en esta web https://orbitalthemes.net . Alguien sabe cómo podria hacerlo? Gracias