¡UPS! Para ver vídeos en la web debes estar registrado, es totalmente gratuito.

Recuerda además que sólo por ser unicoo, GRATIS, podrás dejar tus dudas en los foros de beUnicoos, acumularás energy y help points y ganarás decenas de medallas. Registrarte solo te llevará unos segundos. Nosotros somos unicoos ¿y tú? #nosvemosenclase

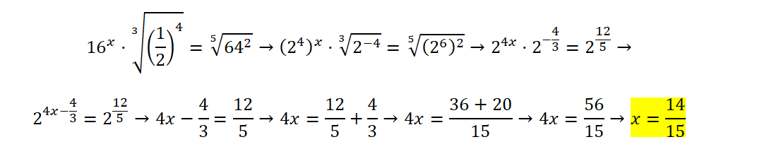
Ecuación logaritmica 01

Resolveremos dos ecuaciones logaritmicas, utilizando propiedades de los logaritmos. Utilizaremos algunas propiedades de los logaritmos, tales como logA+logB = log (AB) y logA-logB = log (A/B)

Para comprender un poco mejor los logaritmos, puedes echarle un vistazo a los videos de logaritmos en esta sección de la web.

Agregar a mi mochila
0/ 628

* Para utilizar tu mochila o guardar tu progreso y acumular energy points debes ser usuario registrado. Regístrate o inicia sesión

Foro de preguntas y respuestas

logo beUnicoos
Los foros de unicoos se han unificado en nuestra nueva plataforma beUnicoos. Para dejar nuevas preguntas deberás hacerlo allí, donde además podrás encontrar nuevas asignaturas y herramientas para ayudarte más con tus estudios.
  • icon

    Laura
    el 6/12/19

    Alguien me podría yudos a resolver esta ecuación logarítmica por favor?

    replythumb_up0 voto/sflag
    icon

    Antonius Benedictus
    el 7/12/19


    thumb_up0 voto/sflag
  • icon

    Daniel Macho
    el 5/3/19

    Hola, llevo días intentando entender como resolver ecuaciones exponenciales donde la incógnita se encuentra tanto en la base como en el exponente, por ejemplo

    2n = n2 + 4n + 5

    Si uso una calculadora como calcme.com  me da un poco más de 6 (6.0346) pero no sé como resolverlo algebraicamente 

    He intentado con logaritmo en base 2 en ambos lados para poder bajar la n de la izquierda pero luego me encuentro con un logaritmo en base dos de la suma de las incógnitas en la derecha y no ayuda mucho tampoco...

    Agradecería enlaces (aunque sea teoría) para saber resolver este tipo de ecuaciones.

    Gracias!!




    replythumb_up0 voto/sflag
  • icon

    Giank
    el 19/12/18

     ¿Cómo se resuelve?

    replythumb_up0 voto/sflag
    icon

    Antonius Benedictus
    el 19/12/18

    Sube al foro de Matemáticas una foto del enunciado original, por favor.

    thumb_up1 voto/sflag
  • icon

    Nuhazet correa torres
    el 3/9/18

    ¿algo como 2log(x-3)-logx=1000? ayudaa tengo varias dudas y si me envían como hacerlo desde cero sería más fácil que decir todas las dudas :c


    replythumb_up1 voto/sflag
    icon

    Antonius Benedictus
    el 4/9/18

    Creo que el enunciado está mal transcrito. ¿Por qué no pones una foto del enunciado original?

    thumb_up0 voto/sflag
  • icon

    Marco
    el 20/2/18

    Tienes algo de inecuaciones

    replythumb_up1 voto/sflag
    icon

    David
    el 26/2/18

    Si buscas "inecuaciones"... 

    Inecuaciones 4º ESO

    Inecuaciones 1º BACHILLER

    Inecuaciones y sistemas 2º BACHILLER...

    thumb_up1 voto/sflag
  • icon

    Cristina
    el 6/12/17


    replythumb_up0 voto/sflag
  • icon

    Cristina
    el 4/12/17


    replythumb_up0 voto/sflag
  • icon

    Cristina
    el 4/12/17


    replythumb_up0 voto/sflag
  • icon

    leonardo villagomez
    el 2/11/17

    ln(x-1)+lnx2 =ln(x3-3x2-8)

    como se haria ??


    replythumb_up0 voto/sflag
  • icon

    Cande Costa Taralli
    el 22/10/17

    Como resuelvo 271/3 = ×


    replythumb_up0 voto/sflag
    icon

    David
    el 23/10/17

    Ya está resuelto.  Lo unico que haría sería simplificarlo.. 271/3  = (3³)1/3= 3^(3/3)= 3

    thumb_up0 voto/sflag
  • icon

    Juan Rodriguez De La Cuesta
    el 8/10/17

    |x| = 4 

    Encuentra los valores de x 

    Me podria resolver mi duda por favor 

    replythumb_up0 voto/sflag
    icon

    Antonius Benedictus
    el 8/10/17

    Sí, claro.

    Los valores son 4 y -4.

    thumb_up0 voto/sflag
  • icon

    william rodriguez
    el 21/7/17

    hice el segundo ejercicio de esta forma ¿es igual de valido?


    replythumb_up0 voto/sflag
    icon

    Antonius Benedictus
    el 21/7/17

    Es correcto, William.

    thumb_up0 voto/sflag
  • icon

    Luis Calvo
    el 18/7/17

    hola me podrian ayudar por favor.

    tengo log2 (x3) +log8 (x) ≤ log3 81 / log2 

    gracias por su ayuda¡


    replythumb_up0 voto/sflag
    icon

    Antonius Benedictus
    el 18/7/17


    thumb_up0 voto/sflag
  • icon

    Gema
    el 20/3/17

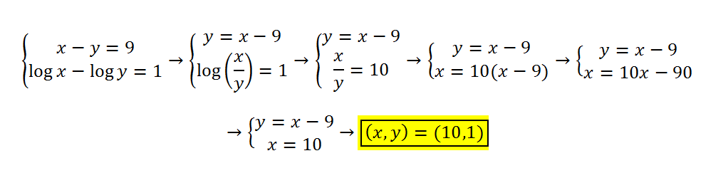
    x-y=9

    logx-logy=1

    replythumb_up0 voto/sflag
    icon

    Antonius Benedictus
    el 20/3/17


    thumb_up2 voto/sflag
  • icon

    Alba
    el 24/1/17
    flag

    Hola. Mi profesora me pide que si me encuentro un numero como por ejemplo un 2 lo pase a logaritmo. cuales serían los pasos para conseguirlo?

    gracias.

    replythumb_up0 voto/sflag
    icon

    Antonius Benedictus
    el 24/1/17


    thumb_up3 voto/sflag
  • icon

    Francisco Blanco Rojas
    el 16/11/16
    flagflagflag

    Como se haría 5x+2y=7; y 5x+1-2y+1=21

    replythumb_up0 voto/sflag
    icon

    David
    el 21/11/16

    Revisa el video de esta leccion de sistemas de ecuaciones logaritmicas y si sigues con dudas, deja el enunciado por favor en el foro general de matematicas. Abrazos!

    thumb_up0 voto/sflag
  • icon

    FR KunHD
    el 7/11/16
    flagflagflagflag

    Buenas, soy alumno de 1 bachiller y tengo estos temas, me darian un link para ver como se hacen, no entiendo nada aparte de Geometria soy de uruguay nose si cambien las cosas en un pais o en otro


    replythumb_up0 voto/sflag
    icon

    David
    el 7/11/16

    Con todo el cariño.. ¿que tiene tu duda que ver con este vídeo?....

    Además se trata de que DESPUES DE IR A CLASE (ver los vídeos relacionados con vuestras dudas) enviéis dudas concretas, muy concretas. Y que nos enviéis también todo aquello que hayais conseguido hacer por vosotros mismos. Paso a paso, esté bien o mal. No solo el enunciado, pero no olvidéis de adjuntarlo de forma LITERAL, para saber que os piden. De esa manera podremos saber vuestro nivel, en que podemos ayudaros, cuales son vuestros fallos.... Y el trabajo duro será el vuestro. Nos cuentas ¿ok? #nosvemosenclase ;-)

    P.D., En el primero, simplemente aplica propiedades de las potencias.. 5^(x+(-3))<=5²... 5^(x-3)<=5².....x-3<=2 Y ahora .. 
    Inecuaciones
    En el segundo.. como 5^0=1.. 5^(x²+9)>5^0... x²+9>0... Inecuaciones de segundo grado

    thumb_up1 voto/sflag
  • icon

    Flor Pereira
    el 19/10/16
    flagflag

    Hola esto es lo que nos dieron para practicar para el examen y no encuentro forma de resolver el primer ejercicio

    replythumb_up1 voto/sflag
    icon

    David
    el 20/10/16

    Para dudas que no tienen que ver explicitamente con el vídeo, lo ideal es que uséis los foros generales de matemáticas, física y química

    Por otro lado, lo siento, pero no distingo lo que pone en la pizarra.....

    thumb_up1 voto/sflag
  • icon

    María
    el 27/7/16
    flag

    Hola buenas ayudo a mi prima con los ejercicios porque tiene que recuperar mates este verano y no se resolver esta ecuación exponencial agradeceria mucho la ayuda

    replythumb_up1 voto/sflag
    icon

    David
    el 1/8/16

    5^(2x-1)= (5²)^((x²-1/4)/3).... 5^(2x-1)= 5^(2(x²-1/4)/3).... 2x-1=2(x²-1/4)/3.... 3(2x-1)=2(x²-1/4)...
    P.D. Para dudas que no tienen que ver explicitamente con el vídeo, lo ideal es que uséis los foros generales de matemáticas, física y química

    thumb_up2 voto/sflag
  • icon

    belen
    el 28/11/15
    flagflag

    que tengo hacer si en log(x-2)-1/5log(3x-6)=log2? intento aplicar las propiedades pero no se como solucionarlo y llevo ya rato intentandolo

    replythumb_up0 voto/sflag
    icon

    David
    el 30/11/15

    Para dudas que no tienen que ver explicitamente con el vídeo, lo ideal es que uséis los foros generales de matemáticas, física y química
    Por esta vez, decirte... log(x-2)-log(3x-6)^(1/5)=log2... . log[(x-2)/(3x-6)^(1/5)]=log2... (x-2)/(3x-6)^(1/5)=2
    Elevando a cinco ambos miembros de la ecuación ... (x-2)^5 =32(3x-6)... Y ahora intentar resovler la ecuacion por Ruffini, Cardano, etc. Animo!

    thumb_up0 voto/sflag
  • icon

    pablo
    el 17/6/15

    y en el segundo ejercicio no se podría haber pasado el 2logX restando a la izquierda de modo que 3logX-2logX=log3 y luego simplificarlo a logX=log3 de modo que X=3??

    replythumb_up6 voto/sflag

    Usuario eliminado
    el 18/6/15

    Hola Pablo
    Así es. Date cuenta de que se trataba de jugar un poco con las propiedades de los logaritmos. Muy atento, si señor. ;-)

    thumb_up3 voto/sflag
  • icon

    Sara Luque
    el 13/6/15

    Hola David , el otro día dejastes un comentario en mi pregunta log(x+6)-2log(x-3)=1 lo creas o no, vi todos los vídeos de arriba a bajo e hize la ecuación muchísimas veces finalmente entendí mi error y me salio la ecuación , hago 1r de bat científico y todos los vídeos que hay en esta web me han ayudado muchísimo. Pero el comentario que hiciste no me sento bien pues yo trabajo mucho y hago muchos ejercicios insisto lo creas o no, y si envié la ecuación es porque en ese momento estaba muy bloqueada y angustiada en una ecuación bastante simple, pero creo que no soy ni la primera ni la ultima que se encuentra a veces en esta situación.
    Aquí te dejo algunas ecuaciones que he hecho entre ellas esta la que tenia una duda.
    Gracias

    replythumb_up0 voto/sflag
    icon

    David
    el 13/6/15

    Si te sento mal lo siento. Además, todo depende siempre del tono con el que leas los mensajes (que no tiene porqué coincidir con el tono con el que yo intento transmitir animos y espiritu de lucha). no se trata tampoco (por eso los he borrad, no te enfades) de que dejes en un video 5 fotos con tus ejercicios, sobre todo, porque los foros de los vídeos están dedicados exclusivamente a dudas que tienen exclusivamente que ver con algo que hago en los vídeos. En caso contrario, lo ideal es que dejéis una solo foto (no 5) en un solo post en el foro general de matemáticas.

    Veo que sí, que es cierto, que trabajas duro. y no sabes como me alegro...
    Espero entiendas que me encuentro todos los días decenas de dudas y trato siempre de solucionarlas de la mejor manera posible, pero no puedo responder una a una como me gustaría... No tengo suficiente tiempo. Supongo lo entiendes... Besos!

    thumb_up6 voto/sflag
  • icon

    Alicia
    el 31/5/15

    una pequeña duda que diferencia hay para que la segunda tenga la solución de 0 y 3 y la primera no ?

    replythumb_up1 voto/sflag
    icon

    David
    el 1/6/15

    Sorry, no entiendo... Cada ecuacion es distinta y tiene diferentes solcuiones...

    thumb_up0 voto/sflag
  • icon

    Mayra Ganduglia
    el 23/4/15
    flagflag

    Hola.. Está buena la explicación, :) pero tengo una duda con algo más básico. Si bien busqué respecto del tema, no encontré Funciones logarítmicas. Necesito resolver f (x) = (log -en base 3- de x) - 2
    Por favor, si podrías darme una mano te lo agradeceríamos.. :D

    replythumb_up0 voto/sflag
    icon

    David
    el 23/4/15

    No dices que te piden hacer con tu funcion....
    Por otro lado, para dudas que no tienen que ver explicitamente con un vídeo, lo ideal es que uséis los foros generales de matemáticas, física y química
    Se trata ADEMÁS de que DESPUES DE IR A CLASE (ver los vídeos relacionados con vuestras dudas) enviéis dudas concretas, muy concretas. Y que nos enviéis también todo aquello que hayais conseguido hacer por vosotros mismos. Paso a paso, esté bien o mal. No solo el enunciado. De esa manera podremos saber vuestro nivel, en que podemos ayudaros, cuales son vuestros fallos.... Y el trabajo duro será el vuestro. #nosvemosenclase Nos cuentas ¿ok?

    thumb_up1 voto/sflag
  • icon

    Mateo
    el 18/2/15

    hola David, tengo una duda, y es si el logaritmo que haces en el apartado a), no se podría hacer de esta forma (ver foto).. Gracias

    replythumb_up0 voto/sflag
    icon

    David
    el 19/2/15

    1=log10...
    No puedes operar logx-1 de forma directa....
    Sobre todo porque no es lo mismo logx-1 que log(x-1)
    ¿mejor?

    thumb_up3 voto/sflag