¡Hola!, Me podéis ayudar con este ejercicio dice así:
En una región del espacio hay un capo eléctrico constante de modulo 500N/C dirigido hacia abajo. Mirar la figura, en que el eje x representa la vertical.
B) Colocamos una partícula cargada de masa 2 g en el punto C y queremos que se mantenga en equilibrio. Calcula que carga y qué signo tendrá que tener esta partícula.
Yo puse que para que se mantenga en equilibrio la fuerza electrica tendrá que compensar el peso, por tanto la carga será negativa.
Al ver el solucionario la carga me la pone en positivo.
Yo hice Felectrica=Peso
Y Q=-3,92·10^-5
Gracias :)
No sé resolver este ejercicio: En un movimiento armonico simple cuánto vale la elongación en el instante en que la velocidad vale la mitad de su valor máximo?
Expresa el resultado en función de la amplitud de A
HE VISTO LOS VÍDEOS, AYUDA!

He seguido intentando y llego a esta conclusión que no sé si estará correcta.
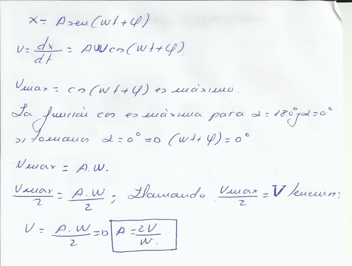
Sea un MAS situado en el eje x
La derivada de la expresión de la posición será la velocidad.
Como la velocidad es función del cos, sabemos que éste toma su valor máximo en 0º y 180º Tomamos un ángulo de cero grados, cuyo coseno es igual a la unidad.
Dividimos la nueva expresión por 2 para que v sea la mitad. y llamamos a v/2 como V.
Llegamos a la expresión que te adjunto.
Esta es la explicación que he concebido del ejercicio. El desarrollo matemático te lo adjunto en la foto. Un Saludo y que te sirva.

Me encantaría ayudarte, pero no respondo dudas universitarias que no tengan que ver específicamente con los videos que ya he grabado como excepcion. Lo siento de corazón… Espero lo entiendas
Es posible te ayuden estos vídeos.. POLEA con dos discos - Momento de inercia
hola , me podria ayudar con este ejercicios de mrua .
Un movil parte del reposo desde el punto A con aceleracion constante y tarda 8 segundos en recorrer 320 metros en treel punto B y C que son puntos de su trayectoria, si su velocidad del punto C es de 50m/s .
¿cual es la velocidad del punto D? ¿la distancia entre A y B ? ¿Cuales la aceleracion del movil?
Hola Melina.
Usamos formulas de cinematica d = vot + at²/2.
Al reemplazar nos queda que a = 10m/s²
Luego tenemos que vf -vo = at. Al reemplazar tenemos que la Velocidad Final en el punto V es igual a 80 m/s.
No entiendo hien lo de Cy d por la falta de datos.
Espero te hubiera servido. Alguna duda me avisa
Buenas noches, me puedes ayudan por favor con estos dos ejercicios no logro entender son los últimos que me faltan :(, gracias de antemano.

Tus dudas son de tecnología y no puedo ayudarte más allá de los vídeos que grabé como excepción...
Ciclo de Carnot Equilibrio térmico
Espero lo entiendas. Se trata de que DESPUES DE IR A CLASE (ver los vídeos relacionados con vuestras dudas) enviéis dudas concretas, muy concretas. Y que nos enviéis también todo aquello que hayais conseguido hacer por vosotros mismos. Paso a paso, esté bien o mal. No solo el enunciado. De esa manera podremos saber vuestro nivel, en que podemos ayudaros, cuales son vuestros fallos.... El trabajo duro será el vuestro y podremos intentar hacer una excepción en los foros (no resolvemos dudas que no se dan en física preuniversitaria). #nosvemosenclase Nos cuentas ¿ok?