me podéis echar una mano?
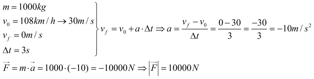
un coche de 1000 kg se mueve a 108 km/h en una carretera recta. si tiene que detenerse en 3 segundos ¿que fuerza deben ejercer los frenos?
Buenas, alguien podría ayudarme con este ejercicio? No entiendo como hacerlo, si me lo explican se los agradeceria. Saludos

Echale un vistazo.. Momento de inercia
Me encantaría ayudarte más, pero no respondo dudas universitarias que no tengan que ver específicamente con los videos que ya he grabado como excepcion. Lo siento de corazón… Espero lo entiendas
Ayuda con el siguiente ejercicio les agradeceria mucho la ayuda que me puedan brindar¡¡
1.- Considérese una pelota que es dejada caer desde una cierta altura; se dice de ella que recorrió la mitad de su trayectoria total durante el último segundo de su caída y se desea conocer (a) el tiempo total de caída y (b) la altura de la que partió.

El tiempo que tarda en caer será aquel para la cual su altura será 0... como h=ho+vo.t-(1/2).gt²... te quedará 0=ho-4,9t².... t²=ho/4,9... t=√(ho/4,9)
Cuando el tiempo es igual a t-1, la altura es ho/2... Planteando de nuevo la misma ecuacion para esa altura... ho/2=ho-4,9(t-1)²... Sustituyendo la expresion de "t" anterior nos quedará...
ho/2=ho-4,9(√(ho/4,9)-1)².. Te queda una ecuacion de la que podrás obtener ho...
Electrostática: ¿alguien me ayuda a darle una explicación?
La intensidad del campo eléctrico E debido a una carga Q en el punto donde está situada una carga Q'>Q es superior, inferior, o igual a la del campo eléctrico E' debido a la carga Q' en el punto donde está situado Q?
La misma pregunta para las intensidades de las fuerzas F (que Q ejerce sobre Q') y F' (que Q' ejerce sobre Q)
Muchísimas gracias!!! Saludos

No entiendo bien la pregunta... El campo electrico que crea Q en el punto donde está situada Q' será igual a E1=k.Q/d²
El campo electrico que crea Q' en el punto donde está situada Q será igual a E2=k.Q'/d² .. Como Q'>Q, entonces E2>E1...
La fuerza electrica que ejerce la carga Q sobre la carga Q' es igual que la fuerza electrica que ejerce Q' sobre Q... Y será F=k.Q.Q'/d²
El otro día hice un examen de física y me plantearon este problema, no tengo ni idea de como empezar, ¿podríais ayudarme?
Una pareja que estaba sentada en una terraza de un bar al comienzo de una calle, discute y ella se va, dejando a su novio allí sentado. Cuando llega al final de la calle, se arrepiente y vuelve corriendo para reconciliarse con una aceleración de 0,5 m/s^2 , justo a la vez él se levanta y comienza a andar hacia a ella con una velocidad de 4 km/h. La calle mide 100 m. a) ¿Cuánto tiempo tardan en encontrarse? b)¿A qué distancia de la terraza lo harán? c) ¿Qué velocidad llevará cada uno justo antes del encuentro?
Muchas gracias.

A ver, Guiomar:
Ella: Distancia que recorre: X....... X=0.5at²=0.5·0.5t²
E: Distancia 100-X..... 100-X=V·t=4t
Sumando posiciones: X+100-X=0.25t²+4t→0.25t²+4t-100=0→t=13.54
Distancia de la terraza: Si X es la posición desde la esquina es: X=0.25·t²=45.83...... 100-X=100-45.83=54.16 m
Ella: Vf=Vo+at=0.5·13.54=6.77 m/s
El: 4 m/s
Espero que te sirva. Un Saludo.
Echo de menos algún video que se ocupe del tratamiento de errores. Mi duda es si al expresar el resultado se usa el error absoluto o el relativo.
Una pregunta de PAU como ejemplo
Un grupo de estudiantes de Física de segundo de bachillerato ha medido en el laboratorio de su centro el tiempo que un péndulo simple de 80,0 cm de longitud tarda en describir 10 oscilaciones de pequeña amplitud. La experiencia se ha repetido cinco veces. Los resultados se muestran en la tabla siguiente. Estimar a partir de ellos el valor de la aceleración de la gravedad
Experiencia Número de oscilaciones Tiempo (s)
1ª 10 18,0
2ª 10 18,5
3ª 10 18,0
4ª 10 17,5
5ª 10 18,5

Pendulo simple 01 Para cada uno de esos valores obten el valor del PERIODO (T), los segundos que tarda en completar una oscilacion completa.
A partir de ahí podrás hallar g, la aceleracion de la gravedad con la formula que relaciona el periodo, a longitud y la gravedad. Y despues haz la media...
En el problema de PAU piden "Estimar a partir de ellos el valor de la aceleración de la gravedad "
Operando me sale una gmedia de 9,773 con un error absoluto de 0,344 y uno relativo de 0,035
Creo que la respuesta sería g= 9,773 +/- 0,344 es decir error absoluto, pero dudo si debería ser g= 9,773 +/- 0,035 error relativo.
Creo que la pregunta es suficiente concreta: ¿Para expresar el resultado se usa el error absoluto o el relativo?