
a)
Como no hay fuerza de rozamiento, la energía se conserva.
Quiere decir que la energía mecánica en "A" va ser igual a la energía mecánica en "B".
Recordamos que la energía mecánica se encuentra sumando la energía cinética "K" más la energía potencial "U" (o elastica "Ue" si hay).
Escribimos las ecuaciones para estas energias mencionadas:
K = 0.5*m*v2
U = m*g*h
Ue = 0.5*k*x2
Dicho esto, podemos encontrar la energía mecánica en "A":
EA = K(A) + U(A) + Ue(A) = 0.5*m*vA2 + m*g*hA + 0.5*k*x2
En este punto no hay precensia de resortes. Por lo tanto se va el ultimo termino:
EA = 0.5*m*vA2 + m*g*hA
Reemplazando datos:
EA = 0.5*3*17.42 + 3*9.81*5 = 601.29 J
Hacemos lo mismo para el punto "B". Planteamos la energía mecánica:
EB = K(B) + U(B) + Ue(B) = 0.5*m*vB2 + m*g*hB + 0.5*k*x2
En este punto tampoco hay precensia de resortes. Y tambien es evidente que hB = 0.
Por esta razon, desaparecen los dos ultimos terminos de ecuación plasmada.
EB = 0.5*m*vB2
Reemplazando datos:
EB = 0.5*3*vB2 = 1.5*vB2
Y como dijimos al inicio, la energía mecánica en "A" y "B" es la misma. Entonces:
EA = EB
601.29 = 1.5*vB2
Y de acá solo toca despejar "vB" para obtener la respuesta.
vB2 = 601.29/1.5
vB = (601.29/1.5)0.5
vB = 20.0215 m/s
b)
Encontramos la energía mecánica en el punto de máxima compresión del resorte. Llamamos a este punto "P".
EP = K(P) + U(P) + Ue(P) = 0.5*m*vP2 + m*g*hP + 0.5*k*x2
En este punto no hay velocidad (vP = 0) ni altura (hP = 0). Se van los dos primeros terminos de la ecuación.
EP = 0.5*k*x2
Reemplazando datos:
EP = 0.5*400*x2 = 200*x2
La energía mecánica en el punto "B" se obtiene reemplazando el valor de velocidad obtenido en el inciso a) en "EB":
EB = 1.5*20.02152 = 601.29 J
Como era de esperarse.
En esta ocasión, se tiene presencia de una fuerza de rozamiento. La expresión para el cambio de energía entre estos dos puntos es:
EP - EB = - ƒ*d
Donde "ƒ" es la fuerza de rozamiento y "d" es la distancia en la que actua la fuerza de rozamiento.
Recordemos que:
ƒ = μk*N
Donde "N" es la fuerza normal. Haciendo un diagrama de cuerpo libre es facil ver que:
N = m*g
Entonces:
ƒ = µk*m*g
Y la fuerza de rozamiento actua en los 12.3 m mas la distancia "x" que es nuestra incognita. Matemáticamente:
d = 12.3 + x
Por lo que nos queda la expresión final como:
EP - EB = - µk*m*g*(12.3 + x)
Reemplazando los datos:
200*x2 - 601.29 = - 0.82*3*9.81*(12.3 + x)
Si arreglas esta ecuación, te daras cuenta que se tiene una cuadratica.
Resolviendo por cualquier metodo algebraico conocido y omitiendo todo resultado negativo obtenemos la respuesta.
x = 1.1750 m

Recordamos que la magnitud de la fuerza que ejercen dos cargas puntuales se determina con la expresión:
F = (ke*q*q')/(r2)
Donde ke en el vacío vale 8.99x109 N*m2/C2
Las cargas q1 y q3 ejercen fuerzas de repulsión y atracción en q2 respectivamente.
Haciendo origen en la carga q2, la fuerza que ejerce q1 sobre q2 (F12) tendrá componentes tanto en el eje "x" y "y" debido a la posición de las cargas.
El triángulo de cargas es equilátero (lados iguales). Por lo que todos sus ángulos internos miden 60º.
Con esta información podemos calcular las componentes de la fuerza F12.
Pasamos antes el lado del triángulo a unidades acordes al sistema internacional (SI).
r = 6 cm*(1 m/100 cm) = 0.06 m
Entonces:
F12(x) = [(ke*q1*q2)/(r2)]*Sin(60º) = [(8.99x109*3x10-6*4x10-6)/(0.062)]*Cos(60º)
F12(x) = - 14.9833 N
F12(y) = [(ke*q1*q2)/(r2)]*Sin(60º) = [(8.99x109*3x10-6*4x10-6)/(0.062)]*Sin(60º)
F12(y) = - 25.9519 N
Fíjate que ambas componentes son negativas respecto al origen establecido. Esto se hace manualmente.
Ahora calculamos la fuerza que ejerce q3 sobre q2 (F32). Esta fuerza solo va en dirección "x".
Quiere decir que:
F32(y) = 0
F32(x) = (ke*q3*q2)/(r2) = (8.99x109*2x10-6*4x10-6)/(0.062)
F32(x) = 19.9778 N
La fuerza total en q2 será la suma de las componentes.
FT = [F12(x) + F32(x)] i + [F12(y) + F32(y)] j
FT = [- 14.9833 + 19.9778] i + [- 25.9519 + 0] j
FT = 4.9945 N i - 25.9519 N j
Y la magnitud de este vector seria:
|FT| = [(4.9945)2 + (-25.9519)2]0.5 = 26.4281 N

1.
Sumatorias de fuerzas en el eje vertical "y" igual a cero (no hay movimiento):
∑Fy = 0
N - m*g*Cos(30º) = 0
De acá calculamos el valor de la fuerza normal.
N = m*g*Cos(30º)
N = 80*9.81*Cos(30º)
N = 679.657 N
Sumatoria de fuerzas en el eje horizontal "x" igual a masa por aceleración:
∑Fx = m*a
m*g*Sin(30º) - ƒ = m*a
Aca sabemos todo menos la aceleración.
Reemplazando datos y resolviendo para "a":
80*9.81*Sin(30º) - 20.4 = 80*a
372 = 80*a
a = 372/80
a = 4.65 m/s2 (Opción "B" es falsa)
Aplicando la ecuación cinemática:
x = vo*t + 0.5*a*t2
Como no hay velocidad inicial, vo = 0. Entonces:
x = 0.5*a*t2
Reemplazando los datos y resolviendo para "t":
149 = 0.5*4.65*t2
2.325*t2 = 149
t2 = 149/2.325
t2 = 64.086
t = 8.0054 s (Opción "C" es falsa)
Recordando que ƒ = µk*N
Reemplazando datos y resolviendo para "µk":
20.4 = µk*679.657
µk = 20.4/679.657
µk = 0.0300 (Opción "A" es verdadera)

dF = (ke*q*dQ)/[x(dQ->q)]2
dQ = λ*dx
x(dQ->q) = a - x + r
dF = (ke*q*λ*dx)/(a -x +r)2
F = ke*q*λ*∫0a[dx/(a -x +r)2]
λ = Q/a
F = ke*q*(Q/a)*∫0a[dx/(a -x +r)2]
F = ke*q*(Q/a)*[1/(a -x +r)]0a
F = ke*q*(Q/a)*[1/(a -a + r) - 1/(a -0 +r)]
F = ke*q*(Q/a)*[1/r - 1/(a + r)]
Reemplazando los datos en esta última ecuación damos con la respuesta.
Recordando que en el vacío ke = 8.99x109 N*m2/C2
Dicho esto:
F = 8.99x109*1x10-6*(100x10-6/1)*[1/0.5 - 1/(1 + 0.5)]
F = 1.1987 N i (Repulsión)
Hola, alguien sería tan amable de ayudarme con este ejercicio, por favor!
Dos móviles A y B siguen las siguientes ecuaciones: SA = 3 - 2.t + 3.t2 y SB = - 4 + 6.t + t2 (SI). Cuando sus velocidades tengan el mismo valor, los móviles estarán separados por:
Desde ya, agradezco su tiempo!

Te sugiero este video..
Desplazamiento, velocidad instantánea, aceleración tangencial y normal
A partir de ahí, se trata de que DESPUES DE IR
A CLASE (ver los vídeos relacionados con vuestras dudas) enviéis dudas
concretas, muy concretas. Y que nos enviéis también todo aquello que hayais
conseguido hacer por vosotros mismos. Paso a paso, esté bien o mal. No solo el
enunciado. De esa manera podremos saber vuestro nivel, en que podemos ayudaros,
cuales son vuestros fallos.... Y el trabajo duro será el vuestro. Nos cuentas
¿ok? #nosvemosenclase ;-)
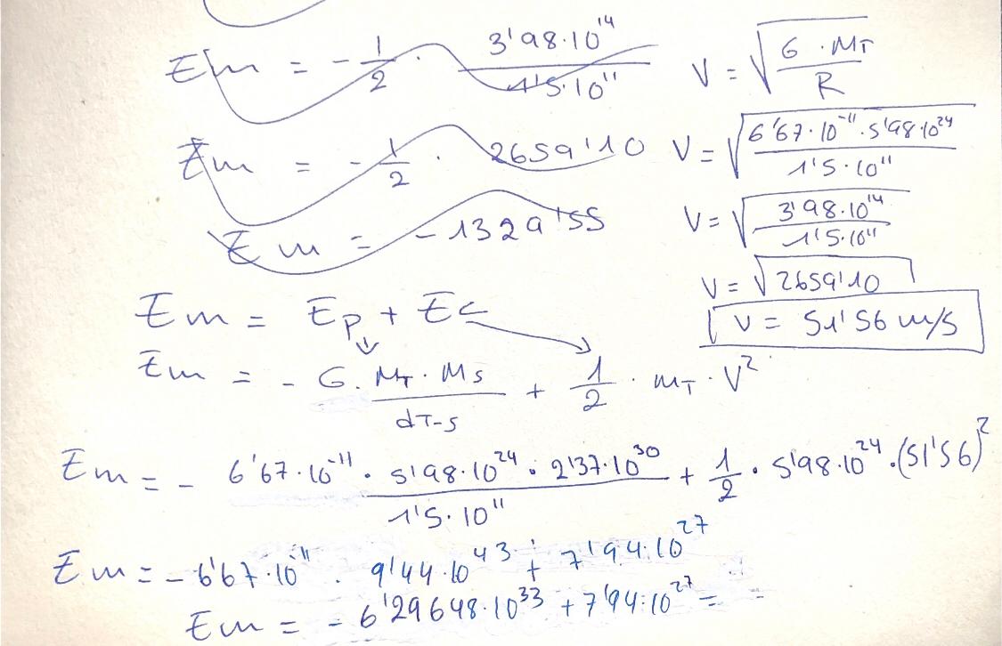
Buenas noches, no consigo hacer el siguiente ejercicio de selectividad se trata de un problema de planetas y satelites.
La órbita de la Tierra alrededor del Sol se puede considerar circular, con un periodo de un año y un radio de 1,50 · 108km. Considerando únicamente el sistema formado por el Sol y la Tierra:
a) Calcule la masa del Sol.
b) Determine la energía mecánica total (cinética y potencial) de la Tierra.

Te sugiero este video..
Gravitación universal 01
A partir de ahí, se trata de que DESPUES DE IR
A CLASE (ver los vídeos relacionados con vuestras dudas) enviéis dudas
concretas, muy concretas. Y que nos enviéis también todo aquello que hayais
conseguido hacer por vosotros mismos. Paso a paso, esté bien o mal. No solo el
enunciado. De esa manera podremos saber vuestro nivel, en que podemos ayudaros,
cuales son vuestros fallos.... Y el trabajo duro será el vuestro. Nos cuentas
¿ok? #nosvemosenclase ;-)
Hola alguien me puede echar una mano? Gracias. → es un vector.
Considere un elemento diferencial de la corriente I · →dl que fluye en la dirección + ˆj, y que se encuentra en el origen de las coordenadas. Determine el campo magnético creado por este elemento actual en:
(a) P1 = (a, 0, 0)
(b) P2 = (−2a, 0, 0)
(c)P3 = (0, 0, a)
(d)P4 = (0, a, 0)
Buenas tardes, alguien me podría corregir el ejercicio y ayudarme hacer el siguiente? No sé por donde comenzar.

8)
Observa que sobre el auto están aplicadas tres fuerzas, de las que indicamos sus módulos, direcciones y sentidos (observa que la dirección de desplazamiento del auto es perpendicular a la dirección de la fuerza de rozamiento que la superficie de apoyo ejerce sobre él):
Peso: P = M*g = 1000*9,8 = 9800 N, vertical, hacia abajo;
Acción normal de la superficie de apoyo: N, vertical, hacia arriba;
Rozamiento estático (observa que se opone a que el auto derrape): fre = μe*N, horizontal, hacia el centro de la curva.
Luego, aplicas la Segunda Ley de Newton (observa que consideramos un sistema de referencia con eje OX horizontal con sentido positivo hacia el centro de la curva, y con eje OY vertical con sentido positivo hacia arriba), y queda el sistema de ecuaciones:
N - P = 0,
fre = M*acp;
luego, sustituyes las expresiones de los módulos de las fuerzas y de la masa del auto, y queda:
N - 9800 = 0, y de aquí despejas: N = 98000 N,
μe*N = 1000*acp, aquí reemplazas el valor del módulo de la acción normal y queda:
μe*9800= 1000*acp, y de aquí despejas: acp = 9,8*μe (1).
Luego, tienes el valor de la rapidez lineal del auto: v = 50 Km/h = 50*1000/3600 = 125/9 m/s.
y tienes ienes el valor del radio de la curva: R = 50 m;
luego, sustituyes la expresión del módulo de la aceleración centrípeta en función de la rapidez lineal del auto y del radio de la curva en la ecuación señalada (1), y queda:
v2/R = 9,8*μe, reemplazas valores, y queda:
(125/9)2/50 = 9,8*μe, y de aquí despejas:
μe = (125/9)2/(50*9,8) = (15625/81)/490 = 15625/39690 ≅ 0,394,
que es el valor del coeficiente de rozamiento estático necesario para que el coche pueda tomar la curva sin derrapar.
a)
Tienes el valor del coeficiente estático de rozamiento estático: μe = 0,6,
y como es mayor que el coeficiente estático de rozamiento necesario, entonces tienes que el conductor del auto sì puede recorrer la curva sin que su auto derrape.
b)
Tienes el valor del coeficiente estático de rozamiento estático: μe = 0,2,
y como es menor que el coeficiente estático de rozamiento necesario, entonces tienes que si el conductor toma la curva en estas condiciones, entonces el auto derrapará.
Espero haberte ayudado.

7)
Vamos por etapas.
1º)
Observa que luego que el pie del futbolista se desprende de la pelota, tienes una situación de Tiro Oblicuo (o Parabólico), en la que tienes los datos:
θ = 45º (ángulo de disparo),
v0 = a determinar (rapidez inicial de la pelota),
A = 40 m (alcance del disparo),
g = 9,8 m/s2 (módulo de la aceleración gravitatoria terrestre);
luego, planteas la expresión del alcance en función de la rapidez inicial y del ángulo de disparo, y queda:
A = v02*sen(2*θ)/g, reemplazas valores, y queda:
40 = v02*sen(2*45º)/9,8, resuelves el factor trigonométrico en el segundo miembro, y queda:
40 = v02/9,8, multiplicas por 9,8 en ambos miembros, y queda:
392 = v02, y de aquí despejas:
v0 = √(392) m/s ≅ 19,799 m/s.
2º)
Observa que antes que el futbolista patee la pelota, tienes que ésta se encuentra en reposo, por lo que el módulo de su cantidad de movimiento inicial queda expresado:
pi = M*vi = 0,5*0 = 0.
Observa que cuando el pie del futbolista se desprende de la pelota, tienes que ésta se encuentra en movimiento, por lo que el módulo de su cantidad de movimiento final queda expresado:
pf = M*v0 = 0,5*√(392) m/s = 9,899 m/s.
Planteas la expresión del impulso aplicado por el futbolista sobre la pelota en función del módulo de la fuerza media ejercida y del intervalo de tiempo correspondiente, y queda:
J = F*Δt = 500*Δt (en N*s).
Luego, planteas la ecuación impulso-variación de la cantidad de movimiento (observa que ahora consideramos un sistema de referencia con eje OX en la dirección de disparo), y queda:
J = pf - pi, sustituyes expresiones, y queda:
500*Δt = 0,5*√(392) - 0, cancelas el término nulo, divides por 500 en ambos miembros, y queda:
Δt = 0,5*√(392)/500 = √(392)/1000 s ≅ 0,020 s.
Espero haberte ayudado.

Te sugiero este video..
Equilibrio térmico
A partir de ahí, se trata de que DESPUES DE IR
A CLASE (ver los vídeos relacionados con vuestras dudas) enviéis dudas
concretas, muy concretas. Y que nos enviéis también todo aquello que hayais
conseguido hacer por vosotros mismos. Paso a paso, esté bien o mal. No solo el
enunciado. De esa manera podremos saber vuestro nivel, en que podemos ayudaros,
cuales son vuestros fallos.... Y el trabajo duro será el vuestro. Nos cuentas
¿ok? #nosvemosenclase ;-)