me podrian ayudar que videos tendria q ver para dominar continuidad de funciones, maximos y minimos usando derivadas

Crecimiento y decrecimiento
Para la continuidad, las derivadas no tienen que ver... Continuidad de una función Derivabilidad y continuidad Funciones a trozos Asintotas
Hola unicos!!!!..... soy nuevo y tengo unas duda matemática, en especifico calculo vectorial, el problema es el siguiente por favor ayuda.
los tres puntos forman un triangulo. Determinar cuáles triángulos son isósceles y cuales son triángulos rectos.
I. (0,0,0), (3,6,-6), (2,1,2)
II. (0,0,0) , (1,2,4), (3,2,3raiz2)
III. (1,2,3), (4,1,3), (4,6,4)
IV. (1,1,-1), (1,1,1), (0,-1,1)
hola unicoos, tengo un ejercicio que no logro resolver sobre números complejos. Agradecería mucho su ayuda
Hola ana,
lo que podes hacer es aplicar distributiva, en el parentesis e igualar la parte real a 0 y la imaginaria a 0 y sacas el valor de k. Ya que eventualmente te queda en el prdutcto entre parentesis terminos con k.
Aca te paso como lo hice yo, (no tengo a mano para mandarte la foto, lo hice medio mental, voy a ver si te lo transcribo eficazmente.
(3-6i)(4+ki) = 12+3ki-24i+6k.
igualas 3ki-24i=0 entonces k= 8 PARTE IMAGINARIA
6k+12=0 entonces k= -2 PARTE REAL
vale destacar que un imaginario puro es aquel que la parte real es igual a 0.
entonces la respuesta es a) k=8. b) k=-2
Espero que te sea util.
Saludos.
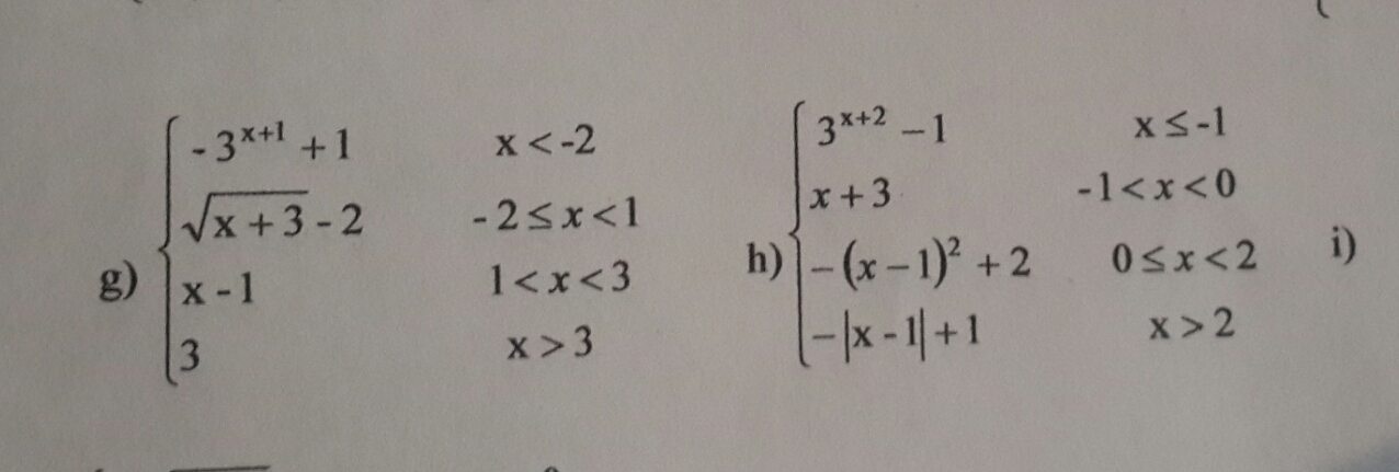
Hola! Me pueden ayudar con los ejercicios G y H ??que no los puedo hacer,gracias!
La consigna es: Graficar las siguientes funciones indicando dominio,imagen,intersecciones con los ejes,crecimiento y decrecimiento e intervalos de positividad y negatividad.

Hola unicoos!
Podrías hacer un vídeo explicando los cambios de variable? Porque no entiendo como hacerlos, ni si hay alguna forma de saber cuándo podés hacerlo
Y por otra parte, querría saber si por casualidad hay algún lugar o libro o algo para aprender todas esas propiedades o reglas que utilizas en los videos como por ejemplo una que vi el otro día que me sirvió mucho que decía que a/b=1/(b/a)
No se si me expliqué
En fin, muchísimas gracias y espero puedas leer esto y ayudarme con mi gran duda
Saludos desde uruguay
Hola Maria, cambio de variable se utiliza generalmente para resolver sistemas o ecuaciones con un grado muy elevado.. y te ayuda a resolver mejor el problema en cuestion
por ejemplo en integrales hacemos cambios de variables para resolverlas, hay algunos videos en los que David hace cambios de variables ahora no recuerdo bien en cuales eran.
aca te dejo un material: http://www.ditutor.com/metodos/cambio_variable.html
Lo de las propiedades podes encontrarlas en cualquier libro de matematica, no se muy bien en que grado estas, pero por lo gral en la gran mayoria de libros hay tablas.
De igual forma en internet podes encontrar tablas, buscas tipo: tabla propiedades, logaritmo, potencias, integrales, derivadas, y esas cosas. y vas armando tu tus propias tablas.
CONSEJO:
te recomiendo que mires en el pie de cada video ya que por lo general hay libros y esas cosas, que conteien esas tablas y son de gran ayuda.
y que no te ligues a esas tablas cada vez q los realices, sino que las vayas incorporando, (propiedades). porque uno nunca sabe cuando le es util, y podes pasar de tener un ejercicio dificilicimo mirandolo, y aplicando dos o tres propiedades se te hace mucho mas facil y accesible.
Saludos, de Uruguay tambien :)
Eso pasa por la general fing? fq? fcien?.... es normal...
pero se remonta.... hay que meterle y sale...
practicar practicar bastante, hacer ejercicios, una vez que le agarres la onda ya te van a salir volando. jeje.. pero cuesta. eso aveces es lo peor pero bueee..
Algo que maso me sirve a mi, es tener siempre a mano las propiedades y esas cosas, y ver y hacer ejercicios (que a veces hay en internet), ya resueltos y con el desarrollo si es posible y eso me ayuda a darme cuenta de cosas que a veces parecen muy dificiles pero en si son pabadas( beuee no tanto jeje). Pero practicar practicar es lo mejor, ver videos sobre esos temas. Capaz a veces es un embole leer de un libro cosas de matematica, pero podes encontrar libro o material mismo creado por estudiantes o profesores, mas resumido y que vaya mas al #hueso# , por asi decirlo y eso capaz te es mas util.
Que no decaiga, con todo!!!!!
cualquier cosa a las ordenes, no dudes en preguntar :) :) :)
saludos.
Hola unicoos!!!!! Quisiera que me ayuden con este ejercicio le doy mucha vuelta y solo consigo resultados de 10m con la fórmula de resta de ángulos de la tangente muchas gracias de antemano es el ejercicio s)
Hola unicoos!!!!! Quisiera que me ayuden con este ejercicio le doy mucha vuelta y solo consigo resultados de 10m con la fórmula de resta de ángulos de la tangente muchas gracias de antemano es el ejercicio s)
Yo no te sabría decir la solución pero te aconsejo que mejores la calidad de la imagen y que no la pongas torcida. Además de que no se distinguen los enunciados. Especifica exactamente cuál es el enunciado que quieres resolver y deja los datos necesarios para poderlo resolver. De esta manera igual te contestan.
Suerte con el ejercicio!