queria preguntar por las funciones afines de modo f[x]=Mx + P he mirado lo de segundo parece otra cosa esto es para representarlo una grafica con la formula del 0 y poner lo de si es creciente o decreciente lo entiendo todo menos lo de sacar los valores de P y eso por favor se ya hay otro me pueden pasar el enlance o responderme como se hace me seria de gran ayuda gracias de antimano
Buenas!!
No entiendo el paso que ha dado a partir de que averigua qué es una indeterminación del tipo 0/0
Podrían explicarme la??
Millón de gracias!!

Supongo que conoces la regla de L'Hôpital para límites , es eso lo que está haciendo , deriva al numerador y también al denominador , como vuelve a dar 0/0 entonces vuelve a derivar una segunda vez y esta vez obtiene 0/2 = 0 .
En caso no conozcas esa regla sugiero que lo revises , en cuanto a las derivadas son derivadas elementales no debe existir problema .

Tienes el límite:
L = Lím(x→0) ( 1/x - cosx/senx ), extraes denominador común, y queda:
L = Lím(x→0) ( senx - x*cosx ) / (x*senx),
y observa que el numerador tiende a cero y que el denominador tiende a cero.
Luego, aplicas la Regla de L'Hôpital (derivas independientemente el numerador y el denominador, observa que no se aplica la regla de derivación para una división entre fracciones), y queda:
L = Lím(x→0) ( cosx - 1*cosx - x*(-senx) ) / (1*senx + x*cosx),
luego, resuelves signos en los términos del numerador, cancelas términos opuestos en el numerador, y queda:
L = Lím(x→0) ( x*senx ) / (senx + x*cosx),
y observa que el numerador tiende a cero y que el denominador tiende a cero;
luego, vuelves a aplicar la Regla de L'Hôpital, y queda:
L = Lím(x→0) (1*senx + x*cosx) / ( cosx + 1*cosx + x*(-senx) ) = 0,
ya que el numerador tiende a 0 y el denominador tiende a 2.
Espero haberte ayudado.
Buenas,
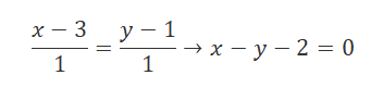
Estaba haciendo una integral y en la solución ponía que -ln(x+1)+ln(x-1)= ln(x-1)/(ln(x+1)
¿por qué esto es así?
Muchas gracias.

Tienes que recordar la propiedad del logaritmo de una división:
lna - lnb = ln(a/b).
Luego, tienes la expresión:
f(x) = -ln(x+1) + ln(x-1), ordenas términos, y queda:
f(x) = ln(x-1) - ln(x+1), aplicas la propiedad del logaritmo de una división, y queda:
f(x) = ln( (x-1)/(x+1) ).
Espero haberte ayudado.
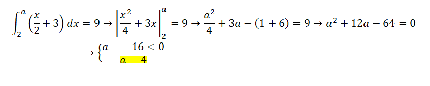
Buenas tardes, he buscado algún vídeo sobre este ejercicio pero no he encontrado nada y me gustaría que me explicase como se hace. El enunciado dice así:
Calcula el valor de a>0 en los siguientes casos:
a) ∫ (x/2)+3 dx =9 → (límite inferior= 2)(límite superior= a)
b) ∫ a(x²+2)dx=1 → (límite inferior= 0)(límite superior=1 )
Tengo el siguiente problema: gasté en un traje 3/5 de lo que tenía y 60€ en dos camisas. Me quedé la mitad de lo que tenía.
Lo he solucionado así
X - ( 3/5 x + 60) = 1/2 x
Pero me sale que x = -600. Pero no creo que esté bien resuelto pq no puedo tener -600€ para gastar
Buenos días. Quiero saber si estoy correcta en esta ecuación exponencial y saber si es verdadera o falsa.
3x . 3y = 9x+y
Entonces lo que hice ha sido esto: 3x . 3y = 3x . 3y ; pero de ahí en adelante no se que hacer si continuar o se queda así y sería verdadera. De antemano muchas gracias por quien me pueda ayudar; porque en realidad no entiendo muy bien y a veces me confundo.