
Puedes llamar d1 a la distancia recorrida en el viaje de ida, y d2 a la distancia recorrida en el viaje de vuelta;
luego, puedes plantear:
d1 + d2 = 840 m (*).
Tienes los datos del viaje de ida:
d1 (a determinar), v1 = v + (1/3)v = (4/3)v (a determinar), t1 (a determinar);
y luego puedes plantear la ecuación de distancia de Movimiento Rectilíneo Uniforme:
d1 = v1*t1, sustituyes la expresión de la velocidad, y queda:
d1 = (4/3)v*t1;
luego, multiplicas en ambos miembros por 3/(4v), y queda:
3d1/(4v) = t1 (1).
Tienes los datos del viaje de vuelta:
d2 (a determinar), v2 = v (a determinar), t2 (a determinar);
y luego puedes plantear la ecuación de distancia de Movimiento Rectilíneo Uniforme:
d2 = v2*t2, sustituyes la expresión de la velocidad, y queda:
d2 = v*t2;
luego, multiplicas en ambos miembros por 1/v, y queda:
d2/v = t2 (2).
Luego, tienes en tu enunciado que los tiempos empleados son iguales:
t1 = t2, sustituyes las expresiones señaladas (1) (2), y queda:
3d1/(4v) = d2/v, multiplicas en ambos miembros por v, y queda:
3d1/4= d2 (**);
luego, sustituyes la expresión señalada (**) en la ecuación señalada (*), y queda:
d1 + 3d1/4 = 840, multiplicas en todos los términos de la ecuación por 4, y queda:
4d1 + 3d1 = 3360, reduces términos semejantes, y queda:
7d1 = 3360, haces pasaje de factor como divisor, y queda:
d1 = 480 m, que es la distancia entre la posición de la casa y la del punto al que hacen referencia en tu enunciado;
luego, reemplazas en la ecuación señalada (**) y queda:
3*480/4 = d2, resuelves y queda:
360 m = d2, que es la distancia entre la posición del colegio y la del punto al que hacen referencia en tu enunciado.
Espero haberte ayudado.
Por lo tanto, puedes concluir que la opción señalada (E) es la respuesta correcta.
Espero haberte ayudado.
Coge dos rectas cualesquiera y encuentra el punto de corte entre ambas, el punto hallado es uno de los vértices, de no existir este punto no habrá triángulo.
Haz lo propio con otras dos para conseguir el segundo vértice
y por último con las dos rectas restantes para conseguir el tercer vértice.
Para hallar los ángulos coge de dos en dos las rectas y calcula el ángulo entre ellas. Recuerda que su suma debe ser 180º
Hola!
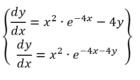
Me podrían ayudar a hallar la solución general de la ecuación diferencial:
dy/dx = (x^2)*e^(-4x)-4y

Recuerda la expresión general de una ecuación lineal de primer orden y de primer grado:
dy/dx + p*y = q,
cuya solución general tiene la forma:
y = e-∫p*dx * ( ∫ e∫p*dx*q*dx + C ) (1).
Luego, haces pasaje de término en la ecuación de tu enunciado, y queda:
dy/dx + 4*y = x2*e-4x;
por lo que tienes:
p = 4, de donde tienes ∫ p*dx = ∫ 4*dx = 4x (2);
q = x2*e-4x (3).
Luego, sustituyes las expresiones señaladas (2) (3) en la expresión de la solución general señalada (1), y queda:
y = e-4x * ( ∫ e4x*x2*e-4x*dx + C );
luego, resuelves el producto entre factores exponenciales en el argumento de la integral, y queda:
y = e-4x * ( ∫ x2*dx + C );
luego, integras y queda:
y = e-4x * ( (1/3)x3 + C);
luego, distribuyes y queda:
y = (1/3)x3*e-4x + C*e-4x (4),
que es la expresión de la solución general de la ecuación diferencial de tu enunciado.
Luego, a fin de verificar que la solución general es válida, planteas la expresión de la función derivada, y queda:
dy/dx = x2*e-4x - (4/3)x3*e-4x - 4C*e-4x (5);
luego, sustituyes las expresiones señaladas (5) (4) en la ecuación diferencial de tu enunciado, y queda:
x2*e-4x - (4/3)x3*e-4x - 4C*e-4x = x2*e-4x - 4*( (1/3)x3*e-4x + C*e-4x );
luego, distribuyes en el último término, y queda:
x2*e-4x - (4/3)x3*e-4x - 4C*e-4x = x2*e-4x - (4/3)x3*e-4x - 4*C*e-4x,
que es una identidad verdadera.
Espero haberte ayudado.
Si tengo x^2+y^2=1 y aíslo x, x= raíz de (1-y^2) esto equivale a x=1-y ? Porque?

Tienes la ecuación:
x2 + y2 = 1, haces pasaje de término, y queda:
x2 = 1 - y2, haces pasaje de potencia como raíz (observa que el exponente es par), y tienes dos opciones:
a)
x = -√(1 - y2) (1);
b)
x = +√(1 - y2) (2);
y recuerda que la radicación no es distributiva con respecto a la resta.
Espero haberte ayudado.
Cuál seria el rango de esta matriz?
(2 1 3)
A=(4 2 -1)
(6 3 2)

También, puedes recordar que el rango de una matriz es igual al rango de su matriz traspuesta,
por lo que traspones, y la matriz traspuesta queda:
2 4 6
1 2 3
3 -1 2
Luego, aplicamos el Método de Gauss:
permutas la primera fila con la segunda fila, y queda:
1 2 3
2 4 6
3 -1 2
A la segunda fila le restas el doble de la primera, a la tercera fila le restas el triple de la primera, y queda:
1 2 3
0 0 0
0 -7 -7
A la tercera fila la multiplicas por -1/7, y queda:
1 2 3
0 0 0
0 1 1
Permutas la segunda fila con la tercera, y queda:
1 2 3
0 1 1
0 0 0
A la primera fila le restas el doble de la segunda, y queda:
1 0 1
0 1 1
0 0 0
que es la matriz reducida y escalonada por filas y, como tiene dos filas no nulas,
puedes concluir que el rango de la matriz traspuesta es dos, al igual que el rango de la matriz de tu enunciado.
Espero haberte ayudado.
si cos a=-0.2 y a esta en el tercer cuadrante: sen(a+π)=0.97 cos(-a):-0.2?