
Observa que la recta r está presentada como intersección entre dos planos, de los que tienes sus ecuaciones cartesianas implícitas, y sus vectores normales: <3,a,-6a> y <-1,1,3>;
luego, puedes plantear que un vector director de la recta r es el producto vectorial entre los vectores normales:
ur = <3,a,-6a> x <-1,1,3> = <9a,6a-9,a+3>.
Observa que tienes las ecuaciones cartesianas paramétricas de la recta s, y su vector director es: us = <-1,1,a>.
Luego, como las rectas r y s deben ser perpendiculares, puedes plantear que sus vectores directores también lo son, y que el producto escalar entre ellos es igual a cero:
ur • us = 0, sustituyes las expresiones de los vectores, y queda:
<9a,6a-9,a+3> • <-1,1,a> = 0, desarrollas el producto escalar, y queda:
9a*(-1) + (6a-9)*1 + (a+3)*a = 0, resuelves en cada término, distribuyes en el tercer término, y queda:
-9a + 6a - 9 + a2 + 3a = 0, reduces términos semejantes (observa que tienes cancelaciones), y queda:
a2 - 9 = 0, haces pasaje de potencia como raíz, y tienes dos opciones:
1)
a = 3;
Luego, los vectores directores quedan:
ur = <27,9,6> y us = <-1,1,3>;
2)
a = -3;
Luego, los vectores directores quedan:
ur = <-27,-27,0> y us = <-1,1,-3>.
Espero haberte ayudado.
Como se hace el 43 y el 45?

43)
Plantea la matriz ampliada del sistema:
a 1 -1 1
1 2 1 2
1 3 -1 0
Permutas la primera fila con la tercera, y queda:
1 3 -1 0
1 2 1 2
a 1 -1 1
A la segunda fila le restas la primera, a la tercera fila le restas la primera multiplicada por a, y queda:
1 3 -1 0
0 -1 2 2
0 1-3a 0 1
Luego, observa que tienes dos opciones, a partir de la expresión del segundo elemento de la tercera fila:
a)
1 - 3a = 0, de donde puedes despejar: a = 1/3;
luego reemplazas en la matriz remarcada, y queda:
1 3 -1 0
0 -1 2 2
0 0 0 1
y tienes, a partir de la tercera fila, que el sistema es incompatible.
b)
1 - 3a ≠ 0, de donde puedes despejar: a ≠ 1/3;
divides a la tercera fila de la matriz remarcada por (1-3a), y queda:
1 3 -1 0
0 -1 2 2
0 1 0 1/(1-3a)
a la segunda fila la multiplicas por -1, y queda:
1 3 -1 0
0 1 -2 -2
0 1 0 1/(1-3a)
a la primera fila le restas el triple de la segunda, a la tercera fila le restas la segunda, y queda:
1 0 5 6
0 1 -2 -2
0 0 2 (3-6a)/(1-3a)
luego, tienes que la matriz es escalonada, y tiene tres filas no nulas, por lo que el sistema es compatible determinado.
Espero haberte ayudado

45)
Multiplicas por la matriz identidad en el segundo término del primer miembro, y queda:
A2 - 3*A*I 0 -2*I
Puedes extraer factor común izquierdo en el primer miembro de la ecuación, y queda:
A*(A - 3*I) = -2*I (*).
Luego, tienes una igualdad entre dos expresiones matriciales, por lo que puedes plantear la igualdad entre sus determinantes (observa que indicamos no n al orden de la matriz A), y queda:
det(A*(A - 3*I)) = det(-2*I)
Luego, aplicas la propiedad del determinante de un producto en el primer miembro, y del determinante de un múltiplo escalar de una matriz en el segundo miembro, y queda:
det(A) * det(A - 3*I) = (-2)n * det(I)
Luego, reemplazas el valor del determinante de la matriz identidad en el segundo miembro (recuerda que es igual a uno), resuelves, y queda:
det(A) * det(A - 3*I) = (-2)n (1)
Luego, observa que el segundo miembro es una potencia de -2, por lo que es distinto de cero, por lo que tienes que los dos factores del primer miembro son distintos de cero:
det(A) ≠ 0, por lo que tienes que la matriz A es invertible;
y también tienes:
det (A - 3*I) ≠ 0, por lo que tienes que la matriz (A - 3*I) es invertible.
Luego, haces pasajes de factores como divisores en la ecuación señalada (1), y queda:
det(A - 3*I)/(-2)n = 1/det(A),
por lo que tienes la expresión del determinante de la matriz inversa de la matriz A:
det(A-1) = det(A - 3*I)/(-2)n.
Luego, multiplicas por -1/2 en ambos miembros de la ecuación matricial señalada (*), y queda:
(-1/2)*A*(A - 3*I) = I
Ordenas factores en el primer miembro, y queda:
A * (-1/2)*(A - 3*I) = I
Luego, de acuerdo con la definición de matriz inversa, tienes:
A-1 = (-1/2)*(A - 3*I).
Espero haberte ayudado.
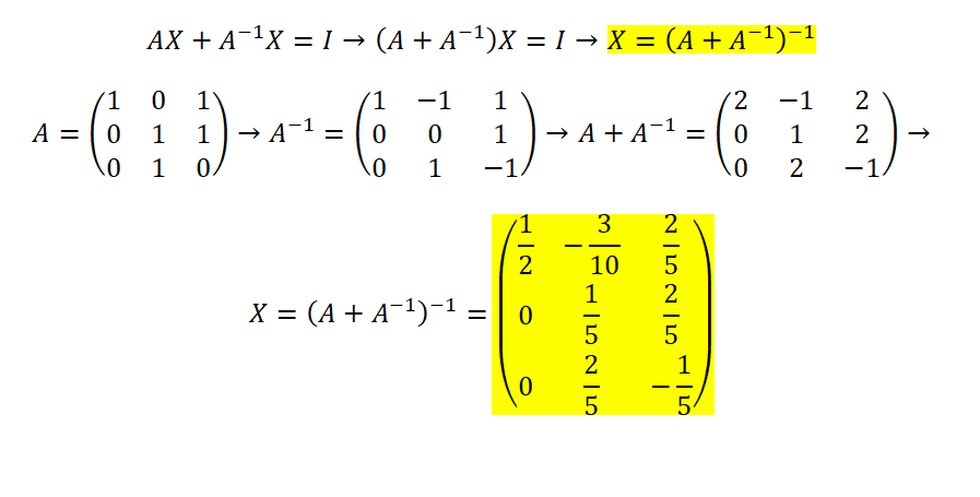
Hola unicoos saludos, tengo un problema es el último que me falta resolver. El tema es de ecuaciones matriciales me pide hallar la matriz x. Aplicando Gauss Jordan en intentado resolver mi duda es si existen restricciones. Si es conveniente realizar cambios de filas o como podría resolverlo. Ayuda por favor acá esta el ejercicio es el inciso L