d. +1 -[+3 -(-8)·(+8)]+[+6+(+8):(+4)]
HOLA NECESITO AYUDA CON ESTE EJERCICIO ESTA VEZ SI COPIE EL ENUNCIADO.
1-(3-(-64)+(6+2)=
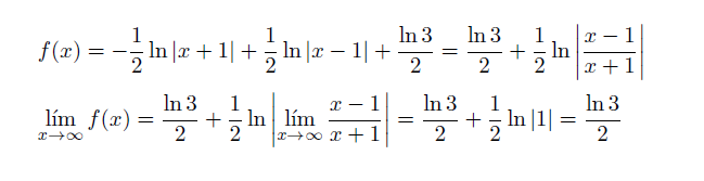
No se como hacer este límite pues cuando introduzco el infinito creo que me da infinito menos infinito y eso seria una indeterminación. Me podrian da una mano?

Pues corrobore mi resultado aqui y me dio https://es.symbolab.com/solver/derivative-calculator/%5Cint%5Cfrac%7B1%7D%7Bx%5E%7B2%7D-1%7D ademas la unica diferencia que veo en nuestro resultados es que quito los valores absolutos y en ves de pone Ln|x-1| puso Ln (1-x). Aunque mi duda va mas a cuando meto el infinito en la función

En figuras planas o sólidos semejantes se tiene lo siguiente :
1) Los volúmenes son proporcionales a los cubos de sus partes homólogas (alturas , lados o aristas , medianas , bisectrices , etc)
entonces Va / Vb = a^3 / b^3
2) Las áreas o la superficie son proporcionales a los cuadrados de sus partes homólogas (alturas , lados o aristas , medianas , bisectrices , etc)
Entonces la relación de áreas es : Sa / Sb = 3^2 / 2^2 = 9 / 4
como la del menor es 112 cm^2 entonces : Sa / 112 = 9 / 4 , de donde Sa = 252 cm^2
La relación de alturas es la misma relación que la de sus partes homólogas : ha / hb = 3 / 2
como la del mayor es 6.6 cm entonces : 6.6 / hb = 3 / 2 ==> hb = 4.4 cm
Necesito ayuda con el siguiente problema
Resuelve un sistema para encontrar los números de dos cifras que cumple esta condición: el cuadrado de la suma de sus cifras es 49 y la suma de los cuadrados de las cifras es 37.
El planteamiento sería:
(x+y)^2=49
x^2+y^2=37
Eso creo que lo tengo bien pero mi duda está al resolverlo puedo en el primer caso dejarlo como x+y=7 ?
En realidad habría dos soluciones:
x+y=±7, ya que la raíz cuadrada tiene siempre un ±.
±√(x+y)2=±√49 →x+y=±7
¿lo ves?
En cuanto al resto del problema empleas el método de sustitución.
x+y=7 o x+y=-7
x2+y2=37
Si x+y=7, x=7-y.
De todas formas, si tienes dudas con los sistemas de ecuaciones, busca sistemas de ecuaciones unicoos y encontrarás ejercicios que te aclaren este