Me piden deducir una identidad sin alfa +beta a partir de sin alfa-beta.
Algun video para hacer ejercicios como esos?
Gracias por adelantado

Es muy sencillo teniendo la fórmula de la suma .
Sen( x + y) = Senx Cosy + Cosx Seny
Ahora en vez de " y " se pone " - y "
Sen ( x + (-y) ) = Senx Cos(-y) + Cosx Sen(-y)
Sen ( x - y ) = Senx Cos(-y) + Cosx Sen(-y)
Lo que acá debes conocer es que la función Coseno es par entonces Cos(-y) = Cosy , la función Seno es impar entonces Sen (-y) = - Seny
Reemplazas
Sen ( x - y ) = Senx Cosy + Cosx ( - Seny ) = Senx Cosy - Cosx Seny
Otra consulta: la razón de proporcionalidad entre dos triangluos semejantes se puede calcular a través de los catetos de un mismo triangulo?. Y después comparar los dos triangulos. Si es que sí , ¿cuál es el motivo?.
Muchas gracias

La razón de proporcionalidad es la razón entre las longitudes de dos lados, uno de cada triángulo, que sean correspondientes.
Si tienes un triángulo rectángulo con base: x, altura: y e hipotenusa: r, y tienes otro con base: X, altura Y e hipotenusa: H,
entonces tienes para su razón de proporcionalidad:
k = x/X, o k = y/Y, o k = h/H,
haces pasajes de divisores como factores en las tres igualdades, y queda:
kX = x (1), kY = y (2), kH = h.
Observa que si planteas la razón entre dos catetos de un mismo triángulo, entonces obtienes:
x/y = reemplazas las expresiones señaladas (1) (2) = kX / (kY) = simplificas = X/Y,
por lo que tienes que la razón es igual para los dos triángulos, pero observa que no obtienes la razón de proporcionalidad.
Espero haberte ayudado.
Me podéis resolver este problema. Necessito ayuda, lo he resuelto y me salten 3 resultados diferentes, no sé si qual es el correcto. Tengo curiositad, el profesor no me supo decir cual era lo correcto. El problema:
¿Son semejantes los dos triangulos rectangulos de la figura? ¿Porqué?. Calcula el area de cada triangulo.

Observa el triángulo sombreado en amarillo:
y = 6 cm es la longitud de su altura (observa que es el cateto opuesto al ángulo α),
x = 8 cm es la longitud de su base (observa que es el cateto adyacente al ángulo α),
h = a determinar es la longitud de su hipotenusa.
Observa el triángulo "más grande":
Y = 15 cm es la longitud de su altura,
X = a determinar es la longitud de su base,
H = a determinar es la longitud de su hipotenusa.
Luego, planteas el Teorema de Pitágoras en el triángulo sombreado, y queda:
h = √(x2+y2) = √(82+62) = √(64+36) = √(100) = 10 cm.
Luego, como los dos triángulos son rectángulos y tienen un ángulo agudo en común, tienes que son semejantes, por lo que puedes plantear (observa que llamamos k a la constante de proporcionalidad):
a)
Y/y = k, reemplazas y queda: 15/6 = k, simplificas y queda: 5/2 = k;
b)
X/x = k, haces pasaje de divisor como factor, y queda: X = k*x, reemplazas y queda: X = k*8,
reemplazas el valor señalado (1), y queda: X = (5/2)*8 = 20 cm;
c)
H/h = k, haces pasaje de divisor como factor, y queda: H = k*h, reemplazas y queda: H = (5/2)*10 = 25 cm.
Luego, tienes que las bases de los triángulos miden 8 cm y 20 cm, que las alturas miden 6 cm y 15 cm, y que las hipotenusas miden: 10 cm y 25 cm.
Espero haberte ayudado.
Necesito ayuda para resolver este problema muchas gracias! AVERIGUA LOS VALORES DE LAS CIFRAS A,B,C DE LA SIGUIENTE SUMA EN BASE 5
A B C
B C A
C A B
+ ---------
A 10 B

Observa que planteas los desarrollos como sumas de potencias de cinco para todos los términos de la suma que tienes en tu enunciado, y queda la ecuación:
(25A + 5B + C) + (25B + 5C + A) + (25C + 5A + B) = 125A + 25*1 + 5*0 + B;
reduces términos semejantes en ambos miembros, y queda:
31A + 31B + 31C = 125A + 25 + B;
haces pasajes de términos, reduces términos semejantes, y queda:
30B + 31C = 25 + 94A .
Luego, observa que si planteas: A = 2;
luego, reemplazas en la ecuación remarcada, resuelves el segundo miembro, y queda:
30B + 31C = 213;
luego, observa que el primer término es múltiplo de 10, por lo que la última cifra (3) la debe aportar el segundo término, por ello planteas: C = 3;
luego, reemplazas en la ecuación remarcada, haces pasaje de término, resuelves el segundo miembro, y queda:
30B = 120;
luego, haces pasaje de factor como divisor, y queda: B = 4.
Luego, para verificar, observa que los números de tu enunciado quedan expresados en base diez
(ABC)5 = (243)5 = 73,
(BCA)5 = (432)5 = 117,
(CAB)5 = (324)5 = 89,
(A10B)5 = (2104)5 = 279.
Espero haberte ayudado.

Sigue el mismo algoritmo que una suma en base 10 sólo que acá la base es 5 .
Cifras de primer orden (unidades) :
A + B + C = *B5 , el asterisco representa a un número que no se conoce .
Esto significa que A + C debe terminar en 0 , entonces A + C = *05 = 105 , es la única posibilidad ya que la máxima suma de 2 números en base 5 es : 4 + 4 = 135
no puede darse el caso que A + C = 205 o mayor , siendo A y C cifras en base 5
cifras de segundo orden ( que en base 10 serían decenas ):
Observar que se ha llevado 1 entonces :
1 + A +B +C = *05 , como A+C = 105 es un número que acaba en 0 entonces 1 + B tiene que terminar en cero
1 + B = *05 = 105 = 5 ==> B = 4
Cifra de tercer orden ( que en base 10 serían centenas ) :
Observar que se ha llevado 2 ya que 1 + A +B +C = 1+B + A +C = 105 + 105 = 205 , entonces :
2+A+B+C = A15 ==> 2 + A+C + B = 5A + 1 ==> 2 + 5 + 4 = 5A + 1 ==> 5A = 10 ==> A = 2
A+C = 5 ==> 2 +C = 5 ==> C = 3
Resultado A = 2 , B = 4 , C = 3

¡Hola! Nos encantaría ayudarte, pero no solemos responder dudas universitarias que no tengan que ver específicamente con los vídeos que David Calle ha grabado como excepción. O de otras asignaturas que no sean Matemáticas, Física y Química. Lo sentimos de corazón… Esperamos que lo entiendas.
Ojalá algún unicoo universitario se anime a ayudarte (de hecho, lo ideal es que todos los universitarios intentarais ayudaros los unos a los otros).
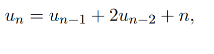
Hola podría hacerme alguien el desarrollo de la siguientes preguntas , ya que no acabo de entender el mecanismo :
Halla la formula explicia de estas sucesiones =
y esta sobre todo tengo una gran duda =
esta ultima con u0= 0 ; u1=1;