Hola.
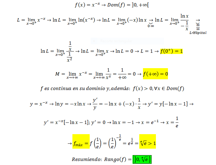
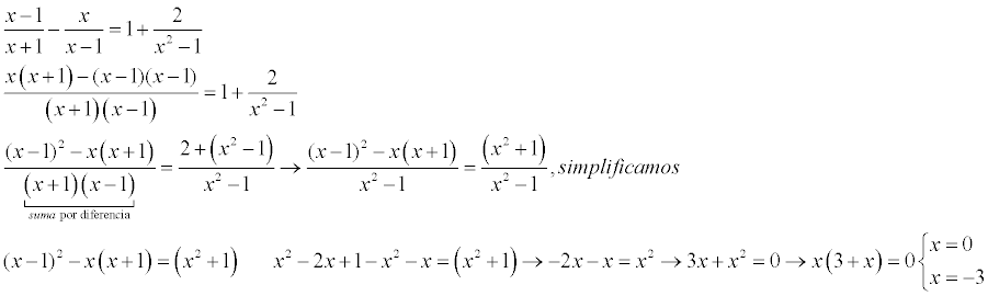
¿Por qué no está bien el procedimiento que yo hago (abajo)?
Siento haber mandado la imagen volteada, pero no me dejaba colocarla.
Gracias.
Un saludo.

¡Hola! Nos encantaría ayudarte, pero no solemos responder dudas universitarias que no tengan que ver específicamente con los vídeos que David Calle ha grabado como excepción. O de otras asignaturas que no sean Matemáticas, Física y Química. Lo sentimos de corazón… Esperamos que lo entiendas.
Ojalá algún unicoo universitario se anime a ayudarte (de hecho, lo ideal es que todos los universitarios intentarais ayudaros los unos a los otros).
Hola. Mi duda es como seguir el ejercicio porque consigo hallar a, pero en ninguna de las ecuaciones que me dan tengo b por lo que no se si tengo que sustituir en la ecuación que me da el problema o me falta algún dato. Gracias y felices fiestas!
Hola, estoy en primero de álgebra de la universidad y tengo esta duda sobre isometrías en A2. Tengo el resultado de ambos, pero no el desarrollo de cómo se hace, y no acabo de descubrirlo. Gracias de antemano.

¡Hola! Nos encantaría ayudarte, pero no solemos responder dudas universitarias que no tengan que ver específicamente con los vídeos que David Calle ha grabado como excepción. O de otras asignaturas que no sean Matemáticas, Física y Química. Lo sentimos de corazón… Esperamos que lo entiendas.
Ojalá algún unicoo universitario se anime a ayudarte (de hecho, lo ideal es que todos los universitarios intentarais ayudaros los unos a los otros).

¡Hola! Nos encantaría ayudarte, pero no solemos responder dudas universitarias que no tengan que ver específicamente con los vídeos que David Calle ha grabado como excepción. O de otras asignaturas que no sean Matemáticas, Física y Química. Lo sentimos de corazón… Esperamos que lo entiendas.
Ojalá algún unicoo universitario se anime a ayudarte (de hecho, lo ideal es que todos los universitarios intentarais ayudaros los unos a los otros).

Solo es un sistema de ecuaciones con 4 ecuaciones y 4 incognitas por lo cual podrias tener una sola solucion al menos que alguna fila o columna sea combinacion lineal de las otras.
1- Forma la matriz aumentada Ax=B
2.Puedes resolverla por eliminación continua.
3. Resolviendo la solucion te queda (1,0,0,0), no se elimina ninguna fila o columna por lo cual tienes solucion unica.
La respuesta seria 5. ninguna de las anteriores.

¡Hola! Nos encantaría ayudarte, pero no solemos responder dudas universitarias que no tengan que ver específicamente con los vídeos que David Calle ha grabado como excepción. O de otras asignaturas que no sean Matemáticas, Física y Química. Lo sentimos de corazón… Esperamos que lo entiendas.
Ojalá algún unicoo universitario se anime a ayudarte (de hecho, lo ideal es que todos los universitarios intentarais ayudaros los unos a los otros).