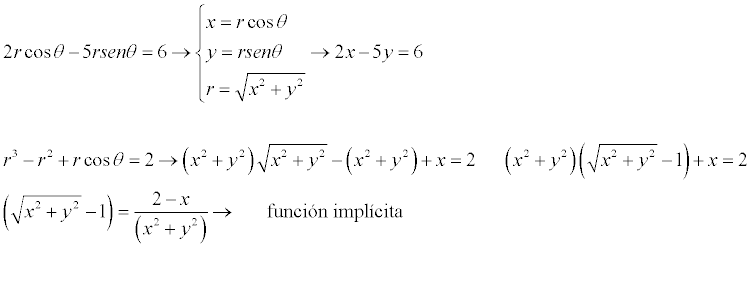
Hola unicoos saludos ayuda por favor con la número 6. Me pide la proyección de la recta. Es lo mismo que los planos proyectantes? Alguien me ayuda gracias de antemano.

Vamos con una orientación.
Comienza por determinar el punto de intersección entre la recta y el plano, y para ello plantea el sistema de ecuaciones:
x + 2y - 3z = 4
5x - 3y + 5z = 10
2x - 4y - 7z = 14;
a la segunda ecuación le restas el quíntuple de la primera, a la tercera ecuación le restas el doble de la primera, y queda:
x + 2y - 3z = 4
-13y + 20z = -10
-8y - z = 6;
a la segunda ecuación le sumas la tercera ecuación multiplicada por 20, y queda:
x + 2y - 3z = 4
-173y = 110, aquí haces pasaje de factor como divisor, y queda: y = -110/173,
-8y - z = 6;
reemplazas el valor remarcado en las demás ecuaciones, haces pasajes de términos, reduces términos semejantes, y queda:
x - 3z = 912/173
-158/173 = z;
reemplazas en la primera ecuación, haces pasaje de término, reduces términos semejantes, y queda:
x = 438/173;
por lo que tienes que la recta y el plano se cortan en el punto: A(438/173,-110/173,-158/173).
Luego, plantea el producto vectorial entre el vector director de la recta y el vector normal al plano, y a este nuevo vector puedes considerarlo como vector normal del plano proyectante, que contiene a la recta y al punto A, por lo que tienes todo para plantear luego su ecuación.
Por último, tienes que la proyección de la recta del enunciado sobre el plano que tienes en el enunciado es la recta intersección entre dicho plano y el plano proyectante.
Espero haberte ayudado.
Ayuda con este ejercicio, por favor.
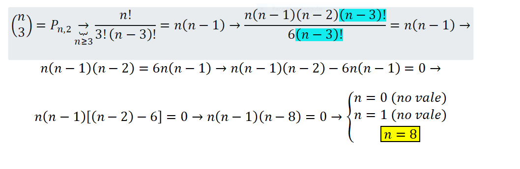
Sea n ∈ ℕ ∧ n > 3, considere el predicado p(n): nC3 = nP2 , determine la cardinalidad del conjunto solución N(Ap(n))
Me parece que se trata de encontrar un "n" que haga que la combinación sea igual a la permutación, la solución es un solo elemento según el solucionario... pero no sé cómo desarrollarlo, si alguien es tan amable de ayudarme en esto...

la solución es única . Debes igualar las distancias de C a L1 y de C a L2 , allí vas a observar que en este caso sólo cabe una posibilidad .
| 4h - 3k - 30 | = |4h - 3k + 10 | ==>
4h - 3k - 30 = 4h -3k +10 ....(i) ó 4h - 3k - 30 = - ( 4h -3k +10 ) ....(ii)
Obviamente en (i) no hay solución sólo queda la opción ( ii ) , a esto le agregas la condición de la recta que contiene el centro y obtienes
que el centro es ( 1 , -2 )