Hola buenas tardes , podría alguien decirme si esta bien , este principio de inclusión exclusión ? Donde u=unión ; n=intersección ;
a1ua2ua3ua4= a1 + a2 + a3 +a4 -( a1na2 + a1na3 + a1na4 + a2na3 + a2na4 + a3na4 ) + a1na2na3 + a1na2na4 + a1na3na4 + a2na3na4 -(a1na2na3na4)
Muchas gracias

Halla cuántos enteros no superiores a 100 son primos .
Hola Antonio , esta es la pregunta original , es un problema de conteo , utilizo los primos menores o iguales a la raiz cuadrada de 100 , es decir 2,3,5 y 7 , calculo los multiplos de cada uno para restarlos al total de 100 , pero en esta operación hay que descontar los multiplos que coincidan con dos numeros primos , con tres numeros primos y con 4 ya no por que excede del numero 100 , ya he averiguado hacer este ejercicio , pero me saltó la duda del caso general del principio de inclusión exclusión con 4 elementos cualesquiera , cual sería la fórmula para descontar correctamente , ya que podría descontar más de la cuenta o menos , buscando en internet hay una fórmula sumatorio , pero no la comprendo muy bien para aplicarla , gracias por tu tiempo Antonio siempre tan atento .
Buenas tardes. Me he quedado atascado en el ejercicio nº 75 ,apartado a. No se como seguir. Gracias de antemano
√(2x) - √(x+17) = 1
√(2x) = 1+ √(x+17)
(√(2x))2 = (1+ √(x+17))2
2x = 12+ (√(x+17))2 + 2*1*√(x+17)
2x = 12+ (x+17) + 2√(x+17)
2x = 1+ x+17 + 2√(x+17)
2x -1- x-17 = 2√(x+17)
x-18 = 2√(x+17)
(x-18)2 = (2*√(x+17))2
x2+182-2*x*18 = 22*(√(x+17))2
x2+324-36x = 4*(x+17)
x2+324-36x = 4x+68
x2+324-36x-4x-68 = 0
x2-40x+256 = 0
Aplicas la fórmula de resolución para ecuaciones de segundo grado y obtienes:
x1=32 y x2= 8
para finalizar compruebas si los valores de x1 y x2 son válidos en la ecuación original √(2x) - √(x+17) = 1
Para x1 --------> √(2*32) - √(32+17) = 1 ----------> √(64) - √(49) = 1 ------> 8 - 7 = 1 -----> 1=1 ----> VÁLIDA (=)
Para x2--------> √(2*8) - √(8+17) ≠ 1 ----------> √(16) - √(25) ≠ 1 ------> 4 - 5 ≠ 1 -----> -1≠1 ----> NO VÁLIDA (≠)
Buen día amigos, me acabo de unir a la comunidad y está chulísima.
Verán, tengo esta duda tonta pero duda al fin y al cabo. Es sobre el ejercicio a del siguiente vídeo. Me dio el mismo resultado pero en el procedimiento yo multipliqué por -1 el numerador y el denominador y quería saber si no hay problema con elllo.
El ejercicio en cuestión es lim x → 0 cos x (1/ sen x)
Y el vídeo es este https://youtu.be/e75NShSWrkc?list=PLOa7j0qx0jgPouI95dWk8jKNq_FZVha6V&t=103
Y respecto al 2do ejercicio del vídeo, yo lo resolví de esta forma y quería ver si estaba correcto (énfasis en la parte en la que se cancelan términos casi al final, por favor)
lim x→1 sen (x-1)/ x2 -1= 0/0
lim x→1 sen (x-1)/ (x -1)(x+1)
lim x→1 sen (x-1)/ (x -1)(x+1)
lim x→1 sen 0)/ (x+1) sen0=1
1/1+1
lim x→1 sen (x-1)/ x2 -1= 1/2

Vamos con una orientación.
Tienes un triángulo equilátero, por lo que sus lados tienes todos medidas iguales, y sus ángulos interiores tienen todos medidas iguales.
Tienes un vértice en el origen de coordenadas: A(0,0).
Tienes oro vértice en el punto: B(4,1), que representa al número complejo: b = 4 + i.
Luego, debes encontrar el tercer vértice: C(x,y), que representa al número complejo: c = x + yi.
Luego, plantea la longitud del lado AB, que es igual al módulo del número complejo b: |b| = √(42+12) = √(16+1) = √(17).
Luego, como el triángulo es equilátero, tienes que la longitud del lado AC, que es igual al módulo del número complejo c, también es igual a √(17).
Luego, plantea que el número complejo c es igual al producto del número complejo b por un número complejo z, y queda:
b*z = c,
luego, recuerda que el módulo de un producto es igual al producto de los módulos, por lo que tienes:
|b|*|z| = |c|, haces pasaje de factor como divisor, y queda:
|z| = |c|/|b| = √(17)/√(17) = 1;
luego, recuerda que el argumento de un producto es igual a la suma de los argumentos , por lo que tienes:
arg(b) + arg(z) = arg(c), haces pasaje de término, y queda:
arg(z) = arg(c) - arg(b),
y, observa que la expresión des segundo miembro es igual a la medida del ángulo interior con vértice A(0,0),
tienes que es igual a π/3, porque el triángulo es equilátero, y queda:
arg(z) = π/3;
luego, expresas al número complejo z en forma trigonométrica y finalmente en forma polar, tal como está en tu imagen.
Espero haberte ayudado.
En la primera tienes que empezar haciéndola por partes: t² lo que hay dentro de la raíz, entonces, en vez de tener dt, vas a tener 2tdt (derivando t²) y eso lo igualas a la derivada de lo que hay dentro de la raíz. Te queda t²=x/x+1 2tdt=dx
Ahora te queda la integral de 2tarcsen(t)dt, simlificas: 2*integral tarcsen(t)dt
Sigues haciéndola por partes: u=t dv= arcsendt du=dt v=1/raíz1-t²
Aplicas la fórmula integral u*dv= u*v-integral v*du
Te queda: 2[t*1/raíz1-t² -integral 1/raíz1-t² *dt = 2t/raíz1-t²-2arcsen(raiz x/x+1) y ya sustituyes la t por su valor real: raiz x/x+1
De la segunda no estoy segura de cómo se hace

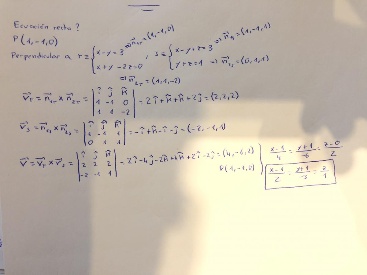
Observa que te presentan a la recta r como intersección entre dos planos, cuyos vectores normales son: <1,-1,0> y <1,1,-2>,
por lo que puedes proponer como vector director al producto vectorial entre ellos, y queda: ur =<2,2,2>.
Observa que te presentan a la recta s como intersección entre dos planos, cuyos vectores normales son: <1,-1,1> y <0,1,1>,
por lo que puedes proponer como vector director al producto vectorial entre ellos, y queda: us =<-2,-1,1>.
Luego, planteas el producto vectorial entre los vectores directores de las rectas r y s, y queda:
w = <4,-6,2> = 2<2,-3,1>, por lo que puedes proponer como vector director de la recta buscada: up = <2,-3,1>.
Luego, con las coordenadas del punto P(1,-1,0) que pertenece a la recta buscada, y con las componentes de su vector director,
puedes plantear las ecuaciones cartesianas simétricas (o continuas) de dicha recta:
(x - 1)/2 = (y + 1)/(-3) = (z - 0)/1.
Espero haberte ayudado.

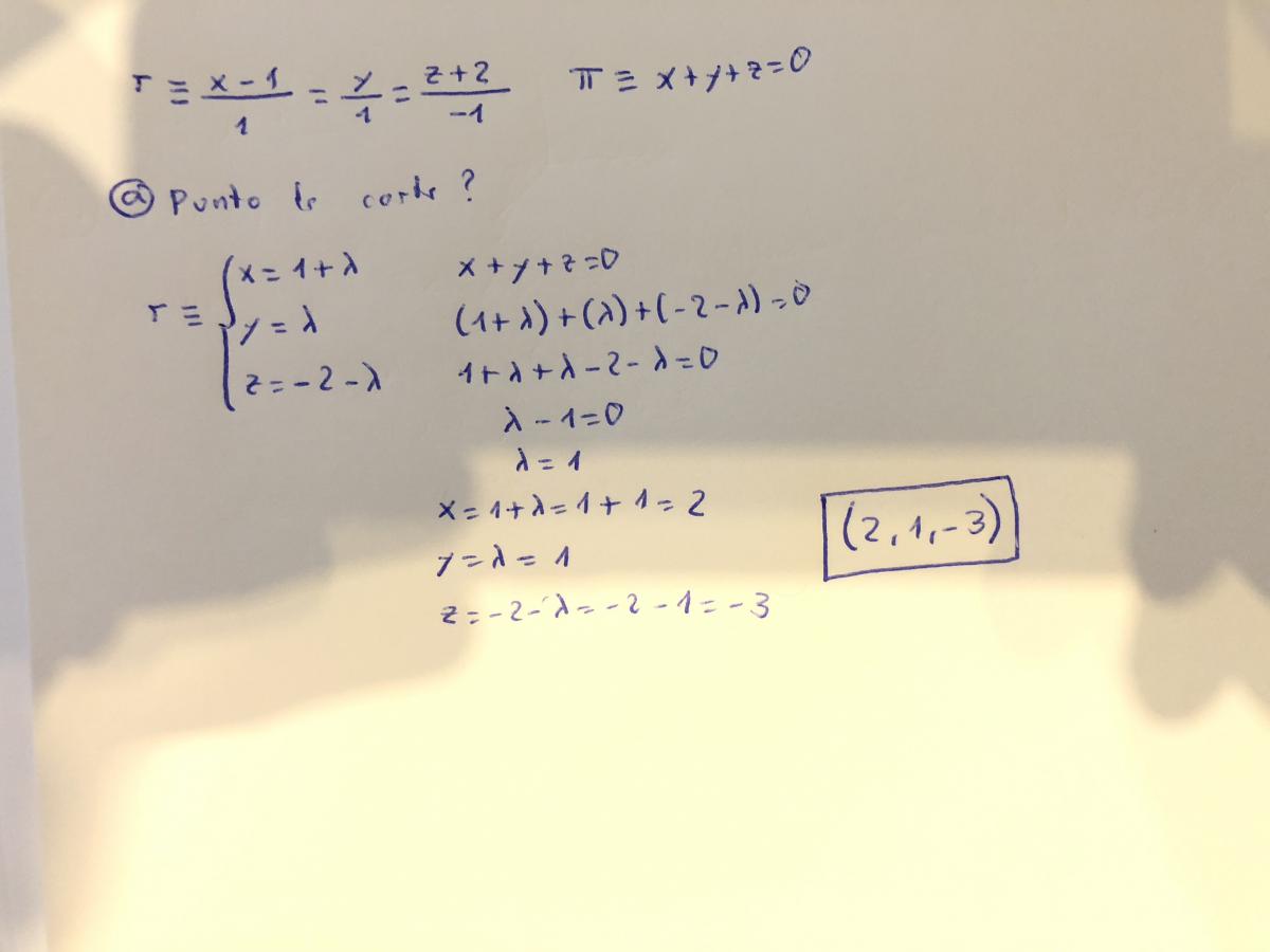
Igualas el primer miembro con el segundo miembro en las ecuaciones cartesianas continuas de la recta, y queda la ecuación:
(x-1)/1 = y/1, de donde puedes despejar: x = y + 1 (1).
Igualas el tercer miembro con el segundo miembro en las ecuaciones cartesianas continuas de la recta, y queda la ecuación:
(z+2)/(-1) = y, de donde puedes despejar: z = -y- 2 (2).
Luego, sustituyes las expresiones señaladas (1) (2) en la ecuación del plano, y queda:
y+1 + y + (-y-2) = 0, distribuyes en el último término del primer miembro, reduces términos semejantes, y queda:
y - 1 = 0, haces pasaje de término, y queda: y = 1;
luego, reemplazas en las ecuaciones señaladas (1) (2), resuelves, y queda: x = 2, z = -3;
por lo tanto, tienes que el punto A(2,1,-3) es el punto de intersección entre la recta y el plano, cuyas ecuaciones tienes en el enunciado.
Espero haberte ayudado.