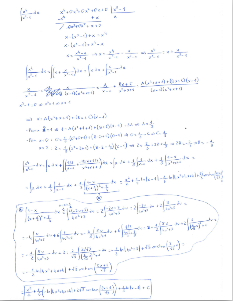
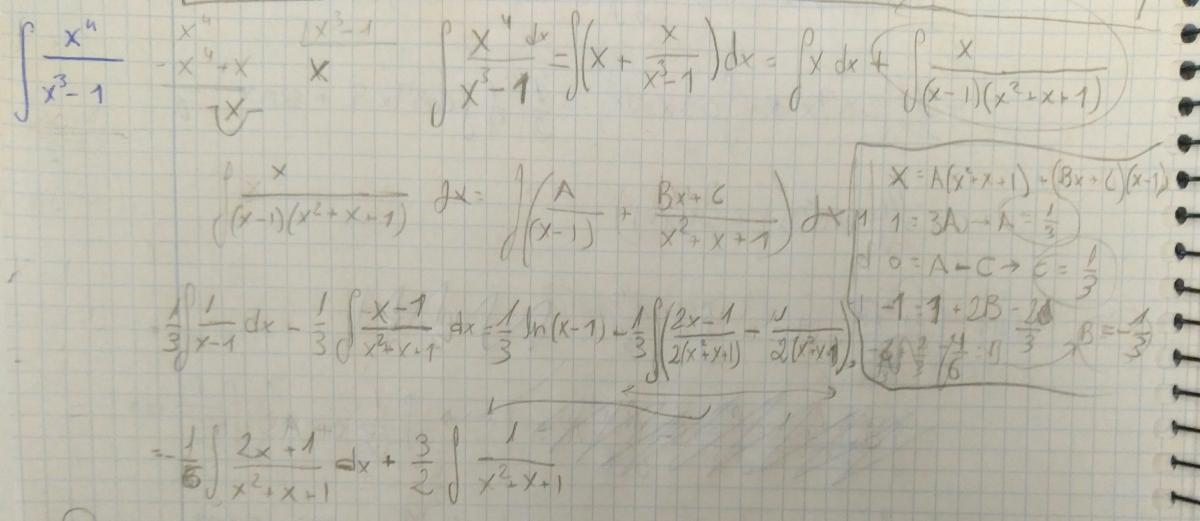
Esto es lo que pude deducir y espero sea de ayuda, te dice que n>2, tomé un número cercano y el mas pequeño posible, el 3, reemplazando el valor en la inecuacion solo queda resolverlo, en el numerador, te queda una ecuación irreducible, ya que al igualarla a cero siempre será mayor a cero con cualquier valor de X y por ende, no tiene solución y no se incluye, los únicos posibles a incluir serían las raíces del denominador, que serían -2 y -1/4, al graficar y hacer el estudio de signos, decimos que X∈ ]-2,-1/4[ , para mi sería la B, pero no estoy seguro si escribirlo en ese orden sería correcto(es decir, el orden en el que está en la imagen), y si reemplazas los valores de n en la solucion B, te dan -1/4 y -2 respectivamente. (Descarto la opción A ya que no hay intervalos cerrados en la inecuacion).
Si se sabe que cos(2α)=7/25, ¿cuál es el valor de x en la figura?
Agradezco a quien pueda ayudarme, intenté transformar el ángulo doble en ángulo simple para ver si encontraba uno notable con el cual trabajar, pero nada, ¡Feliz año nuevo para la gente de España!
Hola buenas tardes,
Dice así el ejercicio: Calcule la recta normal de la curva en el punto abscisa
y déjela en forma general (Ax + By + C = 0).
Muchas gracias y feliz año.

Comienza por plantear la expresión de la función derivada, a partir de la expresión en la ecuación de la curva, y observa que debes aplicar la regla de la cadena:
y ' = ( 1/tan(2x) )*( 1/cos2x) )*2;
luego, evalúas para la abscisa del punto de contacto, y tienes la pendiente de la recta tangente:
mT = ( 1/tan(π/4) )*( 1/cos2(π/4) )*2 = (1/1)*( 1/( 1/√(2) )2 )*2 = 1*2*2 = 4.
Luego, como la recta normal es perpendicular a la recta tangente en el punto de contacto, su pendiente queda:
mN = -1/mT = -1/4.
Luego, evalúas en la expresión de la curva, y la ordenada del punto de contacto queda:
y = ln( tan(2*π/8) ) = ln( tan(π/4) ) = ln(1) = 0,
por lo que el punto de contacto es: A(π/8,0).
Luego, plantea la ecuación punto-pendiente para la recta normal:
y - 0 = -(1/4)*(x - π/8), cancelas el término nulo en el primer miembro, distribuyes en el segundo miembro, y queda:
y = -(1/4)*x + π/32, multiplicas en todos los términos de la ecuación por 32, y queda:
32*y = -8*x + π, haces pasajes de términos, y queda:
8*x + 32*y - π = 0, que es la ecuación cartesiana implícita de la recta normal a la curva, en el punto de contacto.
Espero haberte ayudado.
Hola, como se resuelve el apartado B de este ejercicio:![]()
Yo creo que el resultado del b es Dom(g°f)(x)=(0,3). ¿Es correcto?

Observa que los dominios de las funciones son:
Df = [-3 , 3], por lo que sus elementos cumplen la condición: -3 ≤ x ≤ 3 (1);
Dg = R - {-3,3}, por lo que sus elementos cumplen la condición: x ≠ -3 y x ≠ 3 (2).
Luego, recuerda que los elementos del dominio de la funcion f compuesta con g (Dgof) cumplen dos condiciones:
1°)
x ∈ Df, por lo que tienes que se cumple la condición señalada (1);
2°)
f(x) ∈ Dg, por lo que tienes que los elementos de la imagen de la función f deben cumplir con la condición señalada (2), por lo que puedes plantear:
f(x) ≠ -3 y f(x) ≠ 3, sustituyes la expresión de la función f, y queda:
√(9 - x2) ≠ -3 y √(x2-9) ≠ 3, elevas al cuadrado en ambos miembros en las dos igualdades negadas, y queda:
9 - x2 ≠ 9, para ambas igualdades negadas;
luego, haces pasaje de término, y queda:
x2 ≠ 0, haces pasaje de potencia como raíz, y queda:
x ≠ 0 (2*).
Luego, tienes que los elementos del dominio de la función f compuesta con g cumplen con las condiciones señaladas (1) (2*), y queda:
Dgof = { x ∈ R / -3 ≤ x ≤ 3 y x ≠ 0 } = [-3 , 0) ∪ (0 , 3].
Luego, la expresión de la función f compuesta con g queda:
(g o f)(x) = g( f(x) ) = g( √(9 - x2) ) = 2 / ( ( ( √(9 - x2) )2 - 9 ) = 2 / (9 - x2 -9) = 2/(-x2) = -2/x2.
Con respecto al inciso (c):
observa que x = 4 no pertenece al dominio de la función f compuesta con g: 4 ∉ Dgof,
por lo que no está definida la función f compuesta con g en este caso.
Luego, observa que si es posible evaluar la expresión de dicha función para x = 4 (y toma el valor: -2/42 = -2/16 = -1/8), por lo que se la puede redefinir,
y plantear la expresión de una nueva función:
h(x) =
-2/x2 si x ∈ [-3 , 0) ∪ (0 , 3]
-1/8 si x = 4,
y observa que ahora sí tienes que el elemento x = 4 pertenece al dominio de esta nueva función.
Luego, si debes extender todos los elementos que sea posible, puedes redefinir y plantear la expresión de una nueva función:
H(x) = -2/x2, cuyo dominio es: DH = R - {0}.
Espero haberte ayudado.