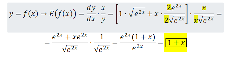
Ante todo, feliz año nuevo!
Tengo una consulta sobre las BASES de un espacio vectorial.
¿La dimensión de la base debe ser igual a la del espacio vectorial? o no necesariamente?
Hola Unicoos, feliz año a todos!!
Me vendría bien ayuda con este ejercicio:
Resuelte gráficamente:
x + 2y -4 < 0
2x -y - 3 < 0
Es un sistema de inecuaciones, pero no estoy seguro de que mi solución sea la correcta.
Muchas gracias, un saludo.

Recuerda la expresión de la distancia entre una recta r cuya ecuación cartesiana explícita tiene la forma: y = m*x + b, y un punto exterior a ella (E(h,k)):
d(r,A) = |k-m*h-b|/√(1+m2) (1).
Luego, tienes que el punto C(2,3) pertenece a la recta, por lo que reemplazas sus coordenadas en la ecuación de la recta r, y queda:
3 = m*2 + b, haces pasaje de término, y queda: 3 - m*2 = b, permutas factores en el segundo término del primer miembro, y queda:
3 - 2*m = b (2).
Luego, tienes el punto exterior: E(-2,3), por lo que remplazas sus coordenadas h = -2, k = 3) en la ecuación señalada (1), y queda:
d(r,A) = |3-m*(-2)-b|/√(1+m2), resuelves el segundo término en el argumento del valor absoluto en el numerador, y queda:
d(r,A) = |3+2*m-b|/√(1+m2) (1*).
Luego, sustituyes la expresión señalada (2) en la ecuación señalada (1*), y queda:
d(r,A) = |3+2*m-(3-2*m)|/√(1+m2), resuelves el argumento del valor absoluto, y queda:
d(r,A) = |4*m|/√(1+m2) (3).
Luego, tienes el valor de la distancia en tu enuciado:
d(r,A) = 8*√(5)/5, sustituyes la expresión señalada (3) en el primer miembro, y queda:
|4*m|/√(1+m2) = 8*√(5)/5, elevas al cuadrado y resuelves en ambos miembros, y queda:
16*m2/(1+m2) = 64/5, haces pasajes de divisores como factores, y queda:
80*m2 = 64*(1+m2), distribuyes en el segundo miembro y queda:
80*m2 = 64 + 64*m2, divides por 16 en todos los términos de la ecuación, y queda:
5*m2 = 4 + 4*m2, haces pasaje de término, y qeuda:
m2 = 4, haces pasaje de potencia como raíz, y tienes dos opciones:
1)
m = -2, reemplazas en la ecuación señalada (2), resuelves, y queda: 7 = b,
luego, reemplazas los valores remarcados en la ecuación de la recta (que hemos remarcado al comienzo), y queda:
y = -2*x + 7;
2)
m = 2, reemplazas en la ecuación señalada (2), resuelves, y queda: -1 = b,
luego, reemplazas los valores remarcados en la ecuación de la recta (que hemos remarcado al comienzo), y queda:
y = 2*x - 1.
Espero haberte ayudado.
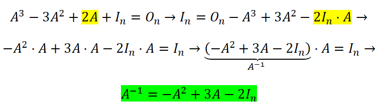
Sea A ∈ Mn(R) tal que A3 −3.A2 + 2.A + In = 0Mn(R). Probar que A es inversible.

Haces pasaje de término en la ecuación matricial (indicamos con I a la matriz identidad de orden n, e indicamos con O a la matriz cuadrada nula de orden n):
A3 - 3*A2 + 2*A = -I,
expresas al tercer término como producto con la matriz identidad, y al segundo miembro como producto de número por matriz, y queda:
A3 - 3*A2 + 2*I*A = -1*I,
extraes factor común por derecha en el primer miembro, y queda:
(A2 - 3*A + 2*I)*A = -1*I.
Luego, plantea los determinantes en ambos miembros, cuyos valores deben ser iguales, por igualdad entre matrices:
|(A2 - 3*A + 2*I)*A| = aplicas la propiedad del determinante de un producto de matrices, y queda:
= |A2 - 3*A + 2*I|*|A| (1);
|-1*I| = aplicas la propiedad del determinante de una matriz multiplicada por un número, y queda:
= (-1)n*|I| = reemplazas el segundo factor por su valor (recuerda que el determinante de la matriz identidad es igual a uno), y queda:
= (-1)n*1 = resuelves, y queda:
= (-1)n ≠ 0 (2), y observa que los valores posibles son -1 o 1, según sea el orden de la matriz A.
Luego, por igualdad de matrices en la ecuación factorizada señalada (*), tienes que sus determinantes son iguales,
por lo que tienes la ecuación, a partir de igualar las expresiones señaladas (1) (2):
|A2 - 3*A + 2*I|*|A| = (-1)n,
y como el segundo miembro es distinto de cero (recuerda que puede valer -1 o 1),
observa que los dos factores del primer miembro deben ser distintos de cero,
por lo que tienes para el primer factor:
|A2 - 3*A + 2*I| ≠ 0;
luego, si observas el segundo factor del primer miembro, tienes:
|A| ≠ 0,
por lo que tienes que la matriz A es invertible, y a que es cuadrada de orden n y su determinante es distinto de cero..
Espero haberte ayudado.
Hola.. si me dan 2 matrices A,B y me dicen calcular |A+B|, se calcula primero A+B y luego hallar determinante de A+B?
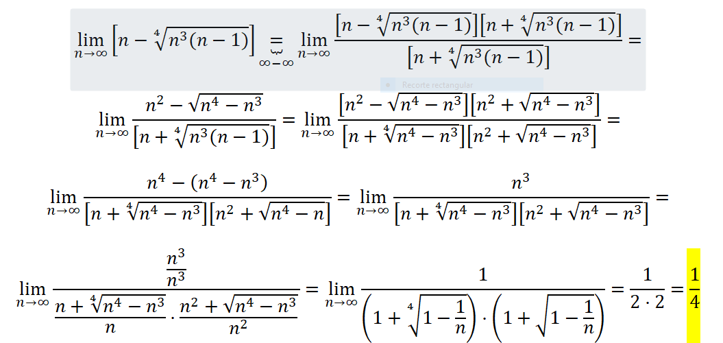
Ante todo feliz año nuevo , que mejor que empezar el año con matemáticas ? , aquí os traigo un problemilla que llevo varios días intentando resolver y buscar su solución por la red , pero no doy con ella , a ver si alguien es tan amable de iluminarme con el desarrollo de este límite de sucesiones .
lim ( n - [n^3(n-1)]^1/4 ) ; por si no se ve claro , n (menos) raíz cuarta de la expresión ( n^3(n-1))
Gracias y Feliz año
Hola, buenas tardes y feliz año nuevo.
¿Me pueden decir alguna pagina web donde pueda encontrar explicaciones sobre la resolución de ecuaciones y sistemas de ecuaciones en congruencias?
Muchas gracias,
Un cordial saludo.