Una pregunta, resolver una integral por descomposición es lo mismo que resolverla por cambio de variable o por partes?
No. Resolver una integral por descomposición significa aplicar las propiedades básicas de la integral: la integral de una suma de funciones es igual a la suma de las integrales de las funciones y la integral del producto de una constante por una función es igual al producto de la constante por la integral de la función. Supongo que el método de cambio de variable y el de partes ya sabes lo que es.
Saludos.
Hola Buenas tardes , alguien me podria resolver un sistema de cuacion fraccionario , con distintos denominadores ( Letras como denominador ).
Gracias
Hola , aquí os traigo una pregunta sobre números combinatorios , que no alcanzo a resolver , sería alguien tan amable de hacer el desarrollo , para ver si entiendo como se hace ? gracias .
Hallar el numero de soluciones enteras no negativas que tiene la ecuacion x1 + x2 + x3 + x4 = 27 ;
¿Cuantas de ellas verifican x1 ≥ 0, x2 > 4, x3 ≥ 1, x4 > 0?
Gracias

Observa que si la recta es tangente a la circunferencia, entonces tienes un único punto de contacto entre ambas.
Luego, haces pasaje de término en la ecuación de la recta, y queda: y = 15 - kx (1),
sustituyes la expresión señalada (1) en la ecuación de la circunferencia, y queda:
x2 + (15-kx)2 + 6x - 8(15-kx) - 1 = 0,
desarrollas el segundo y el cuarto término, y queda:
x2 + 225 - 30kx + k2x2 + 6x - 120 + 8kx - 1 = 0,
agrupas y factorizas términos según las potencias de x, ordenas términos, y queda:
(1+k2)x2 + (-22k+6)x + 104 = 0 (2),
y observa que tienes una ecuación polinómica cuadrática, cuyos coeficientes son: a = 1+k2, b = -22k+6, c = 104;
luego, para que su solución sea única (recuerda que el punto de contacto entre la recta tangente y la circunferencia es único),
debes plantear que su discriminante (recuerda la expresión del discriminante de una ecuación polinómica cuadrática: D = b2-4ac) es igual a cero:
b2-4ac = 0, sustituyes las expresiones de los coeficientes, y queda:
[-22k+6]2 - 4(1+k2)*104 = 0, desarrollas términos, y queda:
484k2 - 264k + 36 - 416 - 416k2 = 0, reduces términos semejantes, ordenas términos, y queda:
68k2 - 264k - 380 = 0, divides por 4 en todos los términos de la ecuación, y queda:
17k2 - 66k - 95 = 0, que es una nueva ecuación polinómica cuadrática, cuyas soluciones son:
k1 = (66-104)/34 = -38/34 = -19/17,
k2 = (66+104)/34 = 170/34 = 5.
Luego, reemplazas en la ecuación señalada (1) y tienes las ecuaciones de las dos rectas tangentes que cumplen con las condiciones del enunciado,
y si necesitas establecer las coordenadas de los correspondientes puntos de contacto, reemplazas cada valor de la constante k en la ecuación señalada (2) y tendrás las abscisas correspondientes, para luego reemplazarlas en la ecuación de la recta tangente que corresponda a fin de determinar sus ordenadas.
Espero haberte ayudado.
Hola
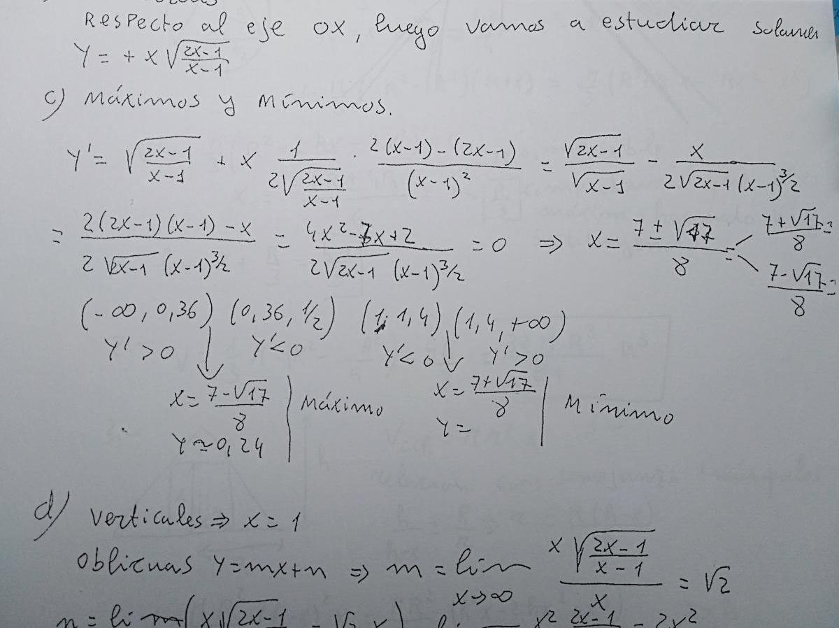
En ese ejercicio, para los máximos y los mínimos, ¿cómo obtiene el máximo si al sustituir valores en la primera derivada las raíces salen negativas?
Gracias.
Un saludo

Observa que debes establecer antes que todo el dominio de la función, cuya expresión es: y = x*√( (2x-1)/(x-1) ),
y observa que debe cumplirse que el argumento de la raíz cuadrada debe ser positivo, y que su denominador debe ser distinto de cero,
luego, analizas el signo del argumento (te dejo la tarea), y tienes que el dominio de la función queda expresado:
D = (-∞,1/2] u (1,+∞), y observa que el primer intervalo es semicerrado por derecha.
Luego, has planteado correctamente la expresión de la función derivada primera, que te ha quedado:
y ' = (4x2-7x+2) / ( 2*√(2x-1)*(x-1)3/2 ) = (4x2-7x+2) / ( 2*√(2x-1)*√( (x-1)3 ) = (4x2-7x+2) / [ 2*√( (2x-1)*(x-1)3 ) ],
y observa que la expresión de la función derivada está definida en todo el dominio de la función excepto: x = 1/2.
Luego, has calculado correctamente los valores en los cuales la función derivada toma el valor cero:
x1 = ( 7-√(17) )/8 ≅ 0,360 y x2 = ( 7+√(17) )/8 ≅ 1,390, y debes agregar el valor para el cuál el primer intervalo es semicerrado: x3 = 1/2,
y tienes los tres puntos críticos (posibles máximos o posibles mínimos) de la gráfica de la función.
Luego, divides al dominio en subintervalos en los que los puntos críticos son los puntos de corte, eliges en cada uno de ellos un valor representante, y evalúas la expresión de la función derivada primera a fin de determinar crecimiento o decrecimiento de la función en cada subintervalo:
(-∞,x1), representado por x = 0, y para él tienes: y ' = 1 > 0, por lo que la función es creciente en este subintervalo,
(x1,1/2), representado por x = 0,4, y para él tienes: y ' = -0,16/( 2*√(0,12) ) < 0, por lo que la función es decreciente en este subintervalo;
por lo que tienes que la gráfica de la función presenta máximo local en x1 = ( 7-√(17) )/8, y mínimo local en x3 = 1/2;
(1,x2), representado por x = 1,2, y para él tienes: y ' = -0,64/( 2*√(0,28) ) < 0, por lo que la función es decreciente en este subintervalo;
(x2,+∞), representado por x = 2, y para él tienes: y ' = 4/( 2*√(3) ) > 0, por lo que la función es creciente en este subintervalo;
por lo que tienes que la gráfica de la función presenta mínimo local en x2 = ( 7+√(17) )/8.
Luego, puedes hacer un gráfico, para determinar si alguno de los máximos o mínimos son absolutos.
Espero haberte ayudado.
hola y Feliz año a todos!!!!!
Este problema de repaso no me sale, alguien me podría ayudar. Gracias de antemano.
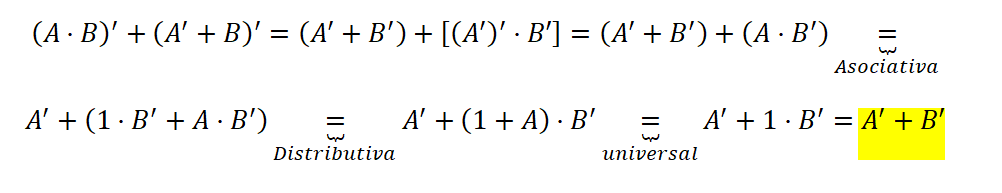
Hola, me gustaría que me ayudaran con la simplificación correcta de la siguiente función lógica, detallando un poco los pasos.
Se el resultado pero no como llegar correctamente.
(A·B)'+(A'+B)'
Muchas gracias