Foro de preguntas y respuestas de Matemáticas

logo beUnicoos
Los foros de unicoos se han unificado en nuestra nueva plataforma beUnicoos. Para dejar nuevas preguntas deberás hacerlo allí, donde además podrás encontrar nuevas asignaturas y herramientas para ayudarte más con tus estudios.

  • icon

    Ingrid
    el 22/10/17

    Me podrían ayudar con este ejercicio, muchas gracias:


    replythumb_up0 voto/sflag
    icon

    Neofito 007
    el 22/10/17


    thumb_up1 voto/sflag
  • icon

    federico garcia
    el 22/10/17

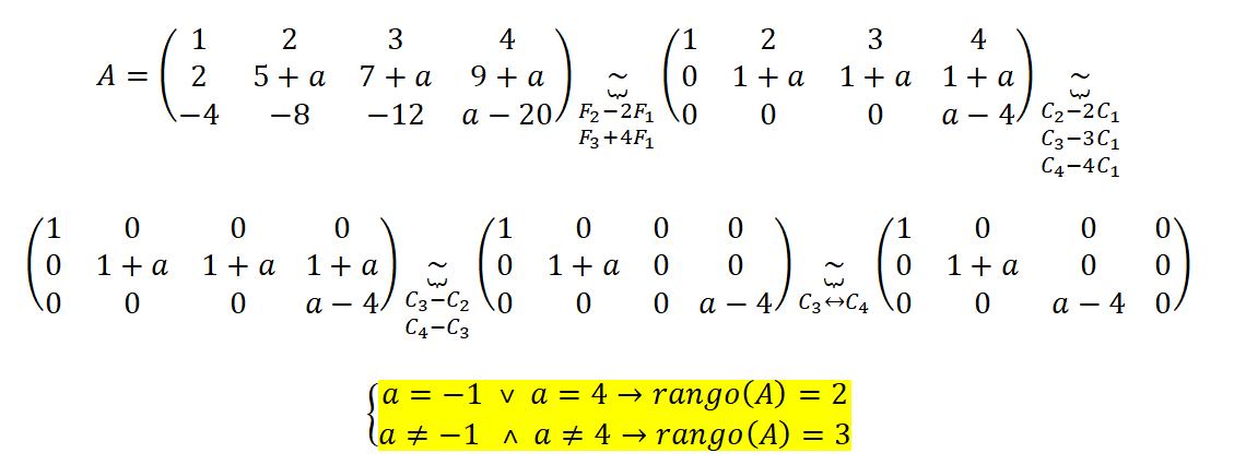
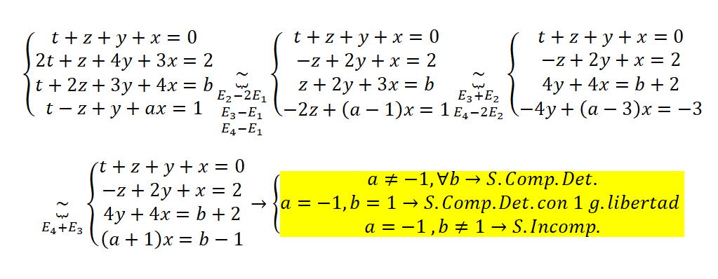
    como podría hallar los valores de a y b por gauss

    replythumb_up0 voto/sflag
    icon

    Antonius Benedictus
    el 22/10/17


    thumb_up1 voto/sflag
  • icon

    Adrián
    el 22/10/17


    Creo que a y b son falsos y c es verdadero, pero no se razonar el porque


    replythumb_up0 voto/sflag
    icon

    Antonius Benedictus
    el 22/10/17


    thumb_up0 voto/sflag
  • icon

    bboy Fabian
    el 21/10/17

    hola unicoos,me podrian colaborar con este limite

    lim                   √(3x-x^2)/√(9-x^2)

    x →3^-

    replythumb_up0 voto/sflag
    icon

    Ángel
    el 22/10/17

    lim(x→3-√(3x-x2÷ √(9-x2)= 

    lim(x→3-√[(3x-x2)÷(9-x2)]= 

    lim(x→3-√[x(3-x)÷(x-3)(x+3)]= 

    lim(x→3-√[x(3-x) ÷ (x-3)(x+3)]= 
    lim(x→3-√[x÷(x+3)]= 

    √[3÷(3+3)]=
    √(3÷6)=
    √1/2=
    1/√2=
    (1*√2)/(√2*√2)=
    (√2)/2

    thumb_up0 voto/sflag
  • icon

    Adrián
    el 21/10/17


    Ayuda porfavor

    replythumb_up0 voto/sflag
    icon

    Antonius Benedictus
    el 22/10/17


    thumb_up0 voto/sflag
  • Usuario eliminado
    el 21/10/17



    ALGUIEN ME PUEDE AYUDAR EN EL 3 EJERCICIO ?? PORFAVOOOR ??

    replythumb_up0 voto/sflag
    icon

    Neofito 007
    el 22/10/17


    thumb_up0 voto/sflag
  • icon

    Adrián
    el 21/10/17


    Es correcto el ejercicio 6?

    replythumb_up0 voto/sflag
    icon

    Antonius Benedictus
    el 21/10/17


    thumb_up0 voto/sflag
  • icon

    Majda Yahya
    el 21/10/17

    Hola me podríais ayudar con el apartado B y C, un saludo y gracias.

    replythumb_up0 voto/sflag
    icon

    Ángel
    el 21/10/17

    b)

    thumb_up1 voto/sflag
  • Usuario eliminado
    el 21/10/17

    Me pueden decir de donde sale el 8,2 , yo calculo lo hago con escala y me sale 10 y pico

    replythumb_up0 voto/sflag
    icon

    Ángel
    el 21/10/17

    164 ÷ 20

    thumb_up0 voto/sflag