Hola, siempre he tenido esta duda y me gustaría que me ayudaséis por favor.
Cómo sé que va en el eje x y en el y? Es decir, yo tengo datos por ejemplo la concentración y la absorbancia y cómo se que la concentración viene representada por eje x y la absorbancia por el eje y?

Lo siento pero no tengo ni idea de como poder ayudarte... Tampoco la relación entre conicentración y ¿absorbancia?... Espero lo entiendas..
Como aclaración decirte que en el eje x siempre se coloca la variable independiente y en el eje y la dependiente (una de ellas depende de la otra)..
Por ejemplo, el tiempo siempre va en el eje x...
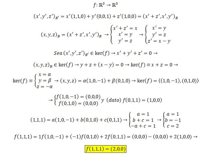
Sea una aplicación lineal f.R3 -> R3, con Nuc(f) = [ (x',y',z') € R3 / x'+y'+z'=0 ]. Se pide calcular f (1,1,1) sabiendo que f (0,1,1) = (1,0,0) y conociendo B = [ (1,0,0) (0,1,0) (0,0,1) ] y B' = [ (1,1,0) (0,0,1) (1,0,0) ].
Si alguien me lo puede explicar se lo agradecería mucho. No consigo entender las aplicaciones lineales, sobre todo cuando se mezclan coordenadas en varias bases y demás...
Buenas tardes, tengo una duda con en como acabar éste ejercicio y no llego a plantear la ecuación al completo y tampoco estoy segura que sea un sistema de tres ecuaciones, si por favor, alguien puede echarme una mano, os lo agradezco muchísimo a terminar de plantearlo. El ejercicio dice así:
Expresar mediante un sistema de ecuaciones el siguiente problema: una empresa produce tres bienes, A, B Y C en las cantidades respectivas x, y, z. El total de bienes producidos debe ser de 10.000 unidades. El 80% del total de bienes producidos de tipo A y B debe ser igual al triple de los producidos de tipo B y C. Finalmente, el tiempo empleado en la producción de cada unidad es de: T horas para el bien A, un 50% menos para el bien B y para el bien C se emplea el triple del tiempo que para el bien B. Se desea emplear 6.000.000 minutos en el proceso productivo. (Sólo plantear, no resolver). Indica además las restricciones que por lógica deben cumplir las variable.
X sea el producto a, y sea el producto b y c sea el producto y las unidades producidas en total son 10.000:
z+x+y+z= 10.000
dado que el 80% del total de bienes es 8.000
x+y= 8.000 ...
x+y+3y+3z= 10.000 (x+4y+3z=10.000)
3y+3z= 8.000
(aquí ya no sé como hacer para plantear el sistema)
Gracias de antemano!
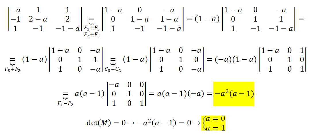
Buenas. Necesito ayuda. Ya he puesto antes el problema, pero lo pongo ahora con una imagen donde se ve como lo hago y donde no puedo continuar, para saber si fallo en algo.
Son dos problemas, el primero incompleto y el segundo la solución no me cuadra con al indicada. Gracias!

Para el modulo (que era √8 si no lo hubieras simplificado) tienes que hacer su raiz cubica.. Y te quedaría ³√√2³= √³√2³= √2. .Tu solucion s correcta pero la que te doy es más sencilla.
En cuanto a las fases, están perfectas... pero te sugiero trabajes con grados que es más sencillo... Sería 135º = 3π/4.
Y quedarían (135+ 360.0)/3=45, (135+ 360.1)/3=165, (135+ 360.2)/3 = 285º