alguien que me diga si esta bien echo ?
y que me ayude a realizar este ejercicio que no lo entiendo alguien por fa ?

Veo 2 situaciones :
1) Cuando separas en 2 o más fracciones el mismo denominador afecta a cada sumando del numerador . NO lo estás haciendo de esa forma .En la solución que pongo planteo una estrategia y es invertir lo que piden y a esa expresión que queda ya es muy sencillo de trabajarlo .
2) AB = (7/5)BC es equivalente a AB/BC = 7/5 y también a BC/AB = 5/7 , lo cual no estás poniendo .
Adjunto solución con 2 métodos , el segundo considero el más sencillo , lo cual se explicó también en otro ejercicio .

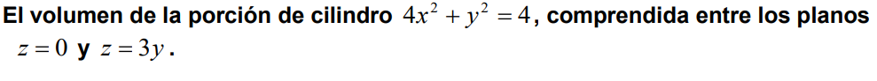
Observa que el módulo del complejo z es (queda que hagas el planteo): |z| = 1 (1).
Observa que la expresión del conjugado de z es: zc = cosβ - i*senβ (2).
Recuerda las expresiones de las partes real e imaginaria de un número complejo:
Re(z) = (z + zc)/2, de donde tienes: 2*Re(z) = z + zc, sustituyes y queda: 2*cosβ = z + zc (3);
i*Im(z) = (z - zc)/2, de donde tienes: 2*i*Im(z) = z - zc, sustituyes y queda: 2*I*senβ = z - zc (4).
Recuerda la expresión del módulo de un complejo en función de él y de su conjugado:
z*zc = |z|, reemplazas el valor señalado (1), y queda: z*zc = 1 (5).
Luego, multiplicas al numerador y al denominador en la expresión del número complejo w, por el conjugado del denominador, y queda:
w = (1 + z)*((1 - zc) / ( (1-z)*(1-zc) ) (6);
luego, desarrolla por separado las expresiones del numerador (N) y del denominador (D):
N = 1 + z - zc - z*zc = ordenas y agrupas términos = (1-z*zc) + (z-zc),
luego, sustituyes la expresión señalada (4) y el valor señalado (5), y queda:
N = (1-1) + 2*i*senβ = 0 + 2*i*senβ = 2*i*senβ (7);
D = 1 - z - zc + z*zc = ordenas y agrupas términos = (1+z*zc) - (z+zc),
luego, sustituyes la expresión señalada (3) y el valor señalado (5), y queda:
D = (1+1) + 2*cosβ = 2 + 2*cosβ = 2*(1 + cosβ) (8);
luego, sustituyes las expresiones señaladas (7) (8) en la expresión señalada (6), y queda:
w = 2*i*senβ / ( 2*(1 + cosβ) ) = simplificas = i*senβ/(1 + cosβ).
Espero haberte ayudado.
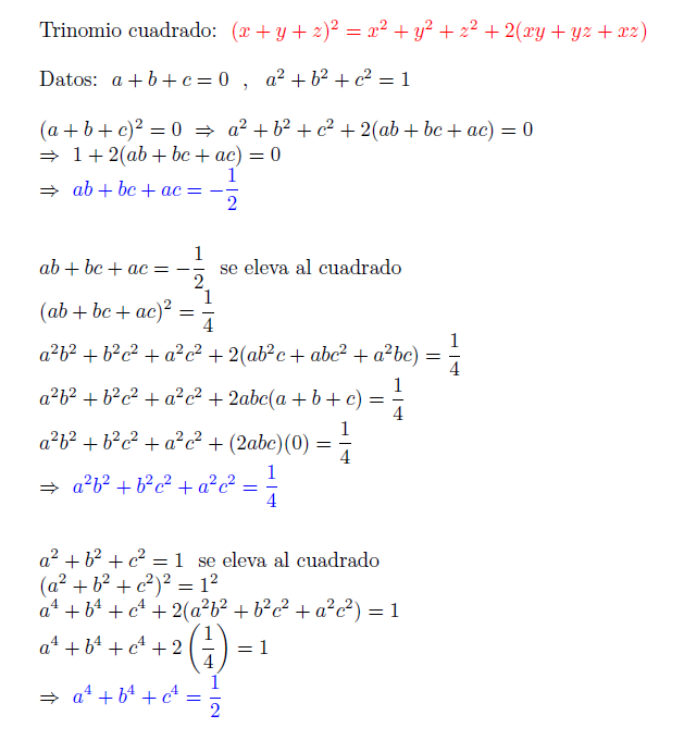
Hola unicoos, quisiera si pueden , que me ayudaran con este ejercicio no entiendo bien como resolverlo.
Se beria resolver utilizando integrales dobles

Observa que el sólido tiene una pared cilíndrica elíptica con eje de simetría z, y que está limitado inferiormente por el plano coordenado OXY (observa que la base del sólido es un disco elíptico), y superiormente por un plano paralelo al eje coordenado OX.
Luego, divides por 4 en todos los términos de la ecuación del cilindro, y queda: x2 + y2/4 = 1.
Luego, plantea el cambio a Coordenadas Polares, adaptadas para elipses:
x = 1*r*cosθ
y = (1/2)*r*senθ,
cuyo factor de compensación (Jacobiano) es: |J| = 1*(1/2)*r = (1/2)*r,
y cuyo recinto de integración (R) es:
0 ≤ r ≤ 1
0 ≤ θ ≤ 2π.
Luego, plantea las ecuaciones de los planos con las nuevas coordenadas:
z = 0 (plano OXY),
z = (3/2)*r*senθ.
Luego, tienes para el volumen del sólido:
V = ∫∫R ( (3/2)*r*senθ - 0 )*dr*dθ = (3/2) * ∫∫R r*senθ*dr*dθ = y puedes continuar la tarea.
Espero haberte ayudado.
Hola necesito ayuda , el enunciado dice ....
Halla el valor de a para que cada polinomio sea ordenado y completo, entendiendo que he tratado de poner en el ejemplo de abajo, 4x elevado a (a+2) + 6x elevando a (2a) - X elevado a (a) + 2 .
Agradezco mucho su ayuda
a+2 2a a
4x + 6x - x + 2
https://www.ditutor.com/polinomios/polinomio_completo.html
P(x)= 4xa+2+6x2a-xa+2
Para que tome la forma de ordenado y completo el valor de a tiene que ser 1 (observa que antes del término independiente tenemos xa, por ir inmediatamente antes el grado a de x será 1)
Y obtendremos:
P(x)= 4x1+2+6x2*1-x1+2= 4x3+6x2-x1+2 = 4x3+6x2-x+2
(4x-3)÷(x+1)(x+3)3= A/(x+1) + B/(x+3) + C/(x+3)2 + D/(x+3)3= [A(x+3)3 + B(x+3)2(x+1) + C(x+3)(x+1) + D(x+1)]÷[(x+1)(x+3)3]
Entonces (4x-3)÷(x+1)(x+3)3= [A(x+3)3 + B(x+3)2(x+1) + C(x+3)(x+1) + D(x+1)]÷[(x+1)(x+3)3] ⇔
(4x-3) = A(x+3)3 + B(x+3)2(x+1) + C(x+3)(x+1) + D(x+1)
Si x= -3
(4x-3) = 0+0+0 + D(x+1)
4*3 -3= D(-3+1)
12-3=-3D+D
9= -2D
D= -9/2
Si x= -1
(4x-3) = A(x+3)3+0+0 + 0
(-1*4 -3)=A(-1+3)3
A= -7/8
(4x-3) = A(x+3)3 + B(x+3)2(x+1) + C(x+3)(x+1) + D(x+1)
*Si x=0 : -3 = 27A +9B + 3C + D ---------> -3=27*(-7/8) + 9B + 3C -9/2 ----------> -3= -189/8 + 9B + 3C -9/2 -----------> 9B+3C= 189/8 -3 +9/2 ----> 9B+3C= 201/8
*Si x=1 : 1 = 64A +32B+8C+2D ----------> 1=64*(-7/8) + 32B + 8C- 18/2 ----------> 1= -448/8 + 32B + 8C- 9 -----------> 32B+8C = 1+56+9 -------> 32B+8C = 66
Resolvemos el sistema de ecuaciones:
9B+3C= 201/8 -----> -72B-24C= -201 -----> 24B=3 -----> B=8
32B+8C = 66 96B+24C=198
32B+8C=66 -----> 32*8+8C=66 -----> 8C=66-256 ------> 8C= -190 -----> C= -190/8= -95/4
Concluimos que:
(4x-3)÷(x+1)(x+3)3= - (7/8)/(x+1) + 8/(x+3) - (95/4)/(x+3)2 - (9/2)/(x+3)3
¡Hola! Necesito ayuda para resolver y simplificar una derivada. Por favoooor, este ejercicio me impide seguir con los demás puntos. Este es el ejercicio (la raíz cuadrada va en todo el segundo termino): f(x)=(3x^2+x+2)/(√x+2)
f(x)=(3x2+x+2)÷√(x+2)
f´(x)={(6x+1)*√(x+2) - (3x2+x+2)*1/[2√(x+2)]} ÷(x+2)
f´(x)=[(6x+1)*√(x+2)*(2√(x+2)/(2√(x+2) - [(3x2+x+2)/(2√(x+2)] ÷(x+2)
f´(x)=[(6x+1)*√(x+2)*(2√(x+2)-(3x2+x+2)]/(2√(x+2)] ÷(x+2)
f´(x)=[(6x+1)*2*(x+2)-(3x2+x+2)]/(2√(x+2)] ÷(x+2)
f´(x)=[(12x+2)*(x+2)-(3x2+x+2)]/(2√(x+2)] ÷(x+2)
f´(x)=[(12x2+24x+2x+4)-(3x2+x+2)]/(2√(x+2)] ÷(x+2)
f´(x)=(12x2+24x+2x+4-3x2-x-2)/(2√(x+2)] ÷(x+2)
f´(x)=(9x2+25x+2)/(2√(x+2)] ÷(x+2)
f´(x)=(9x2+25x+2)÷[(2√(x+2)*(x+2)]
f´(x)=(9x2+25x+2)÷[2√(x+2)3]
Hola, tengo duda con el siguiente ejercicio : Hallar ecuaciones de una recta L ⊂ R3 paralela al plano x-y+z=0 y tal que d(L,plano)=2 √3
Mas o menos sé que tengo que relacionar la Normal del plano y buscar la interseccion con esa recta L que va a tener el mismo (o multiplo) vector director del plano por ser paralelos y tambien buscar la interseccion de la normal con el plano y luego hacer el modulo de la resta y me daria la distancia... pero no me sale. Si alguno me puede dar una mano se lo agradeceria mucho
ME PODÉIS AYUDAR EN ESTOS IMÁGENES POR FAVOR NO LO ENTIENDO Y TENGO MUY POCO TIEMPO, POR FAVOOOOR !!!!!!
Esta es la única pregunta que no pude resolver, ademas no entiendo las alternativas, por favor ayuda