Si podríais ayudarme con esto también es matemáticas de 2 de bachillerato
Actividad 1
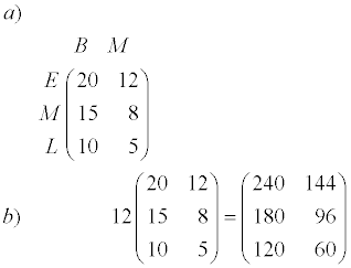
Una compañía de muebles fabrica butacas, mecedoras y sillas, y cada una de ellas de tres modelos: E (económico), M (medio) y L (lujo). Cada mes produce 20 modelos E, 15 M y 10 L de butacas; 12 modelos E, 8 M y 5 L de mecedoras, y 18 modelos E, 20 M y 12 L de sillas. Representa esta información en una matriz y calcula la producción de un año.
Actividad 2
Considera la matriz
a) Calcula el determinante de las matrices 2A, A31 y
b) Halla la matriz
Hola muy buenas unicos. Podríais ayudarme?
Representa en la recta real los números que verifican las siguientes relaciones:
a) |x|> -2
Todos los números en ℛ (cualquier x) serán positivos si están dentro de un valor absoluto, por lo que obviamente siempre se cumplirá que el valor absoluto de cualquier número es mayor que -2
b) |x-1|>4
x-1 > 4 -------> x>5
-(x-1) > 4 ------> -x+1 > 4 ----> -x > 3 ----> x < -3
Entonces el dominio de x es x>5 ∪ x < -3 = x∈(-inf, -3) U (5,inf)
Buenas,
me gustaría saber si podría resolverme la duda sobre como debemos calcular el IVA, ya que he buscado algún vídeo que lo explique,
Aspirina
Los medicamentos para uso humano, así como las sustancias medicinales, formas galénicas, fórmulas magistrales y preparados oficinales tributan al tipo superreducido del Impuesto (4%). Por el contrario, los productos intermedios utilizados para la obtención de aquellos tributarán al tipo general del impuesto (21%).
Con IVA superreducido----> 2.5*1.04
Con IVA general----> 2.5*1.21
Libros (por lógica siempre debería ser del 4%)
Billete de tren:
parece ser que es del 8% o 10%
Barra de pan (4%: superreducido)
Precio=0.83*1.04
Perfumes (creo que es 21%: general)
hola necesito saber también como se hacen divisiones de fracciones con diferente denominador y parentesis,alguien puede explicarme? gracias
hola necesito saber como se hacen fracciones multiplicadas de diferente denominador y con parentesis ,alguien puede explicame? gracias
https://www.unicoos.com/video/matematicas/1-eso/fracciones/fracciones/suma-de-fracciones-con-m-c-m
https://www.unicoos.com/video/matematicas/1-eso/fracciones/fracciones/suma-de-fracciones-con-productos-cruzados
https://www.unicoos.com/video/matematicas/1-eso/fracciones/fracciones/multiplicacion-y-division-de-fracciones
hola , buenas.
Los infinitesimos se usan cuando el limite es 0 o cuando x tiende a 0?
gracias.