
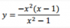
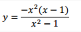
Observa que el denominador de la función se anula para x = -1 y para x = 1, por lo que tienes que el dominio de la función es: D = R - {-1,1},
y tienes que la gráfica de la función es discontinua para x = -1 y para x = 1.
Luego, factorizas el denominador, y queda:
y = -x2(x-1)/( (x+1)(x-1) ),
luego simplificas y queda:
y = -x2/(x+1),
luego, puedes "estandarizar" la expresión, y para ello restas y sumas 1 en el numerador, y queda:
y = (-x2 + 1 -1)/(x+1),
factorizas la expresión formada por los dos primeros términos del numerador (observa que tienes una resta de cuadrados perfectos), y queda:
y = ( (-x+1)(x+1) - 1 )/(x+1),
distribuyes el denominador, simplificas, y queda:
y = -x + 1 - 1/(x+1),
luego, observa que para x tendiendo a -∞ o a +∞, tienes que el término fraccionario tiende a cero, por lo que puedes despreciarlo con respecto a los dos primeros términos,
y queda:
y = -x + 1,
que es la ecuación de la asíntota oblicua de la gráfica de la función;
luego, completamos el estudio del comportamiento asintótico de la función con los límites laterales:
Lím(x→-1-) f(x) = Lím(x→-1-) ( -x + 1 - 1/(x+1) ) = +∞ (observa que el denominador en el último término tiende a cero desde valores negativos),
Lím(x→-1+) f(x) = Lím(x→-1+) ( -x + 1 - 1/(x+1) ) = -∞ (observa que el denominador en el último término tiende a cero desde valores positivos),
por lo que tienes que la recta cuya ecuación es:
x = -1,
es asíntota vertical de la gráfica de la función;
luego, plantea el límite:
Lím(x→1) f(x) = Lím(x→1) ( -x + 1 - 1/(x+1) ) = -1/2,
por lo que tienes que la gráfica de la función presenta discontinuidad puntual (o evitable) en x = 1.
Espero haberte ayudado.
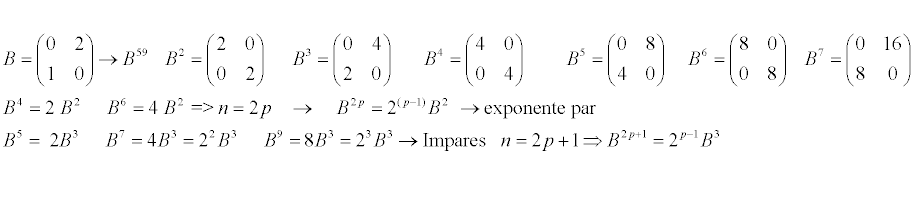
No sé como seguir este ejercicio de matrices, en primer lugar voy a mandar una foto del enunciado y después de lo que yo he hecho y no sé continuar. Yo sólo quiero el apartado B 59
Gracias!!

Puedes plantear:
x = 0,0012/3, tomas logaritmos en ambos miembros, y queda:
log(x) = log( 0,0012/3 ), aplicas la propiedad del logaritmo de una potencia, y queda:
log(x) = (2/3)*log(0,001), tomas antilogaritmos en ambos miembros, y queda:
x = antilog( (2/3)*log(0,001) ), por lo que la opción d es la respuesta correcta.
Espero haberte ayudado.

Efectúas el producto de matrices en el primer miembro, y queda el sistema de ecuaciones:
3x1 + 7x2 = 2
2x1 + 6x2 = 4,
luego, divides por 2 en todos los términos de la segunda ecuación, haces pasaje de término, y queda:
x1 = 2 - 3x2 (a),
luego sustituyes la expresión señalada (a) en la primera ecuación, y queda:
3(2 - 3x2) + 7x2 = 2,
distribuyes el primer término, haces pasaje de término, reduces términos semejantes, y queda:
-2x2 = -4,
haces pasaje de factor como divisor, y queda: x2 = 2,
luego reemplazas en la ecuación señalada (a), y queda:
x1 = 2 - 3(2) = 2 - 6 = -4.
Otra forma:
puedes calcular la matriz inversa de la matriz cuadrada, y multiplicar por izquierda en ambos miembros por dicha matriz, y obtendrás la misma solución, pero en forma matricial.
Espero haberte ayudado.

Plantea la sustitución provisoria:
g(x) = 2∫ax √(t2+1)*dt (1),
cuya derivada queda (observa que aplicamos el Teorema Fundamental del Cálculo Integral):
g ' (x) = √( (ax)2 + 1 )*a = a*√(a2x2+1) (2).
Luego, sustituyes la expresión señalada (1) en la expresión de la función que tienes en tu enunciado, y queda:
f(x) = g(x) + (1/2)*a*x2 (3);
luego, tienes en tu enunciado que la función F es la antiderivada de la función f,
por lo que puedes plantear que la derivada de la función F es la función f:
F ' (x) = f(x),
sustituyes la expresión señalada (3), y queda:
F ' (x) = g(x) + (1/2)*a*x2,
luego, vuelves a derivar, y queda:
F ' ' (x) = g ' (x) + a*x,
luego sustituyes la expresión señalada (2), y queda:
F ' ' (x) = a*√(a2x2+1) + a*x,
reemplazas el valor del coeficiente que tienes en tu enunciado (a = 1), y queda:
F ' ' (x) = √(x2+1) + x,
evalúas para x = 10, y queda:
F ' ' (10) = √(101) + 10.
Espero haberte ayudado.
Saludos. Busco recomendación de algún documento o libro que trate detalladamente teoría de conjuntos. Agradecería si me incluyen algún link.