
Tienes la inecuación:
x/(x2+1) + 1/(2x) ≥ 1,
extraes denominador común en el primer miembro, y queda:
(2x2+x2+1) / ( 2x(x2+1) ) ≥ 1,
reduces términos semejantes en el numerador del primer miembro, y queda:
(3x2+1) / ( 2x(x2+1) ) ≥ 1,
haces pasaje de divisores positivos como factores, y queda:
(3x2+1) / x ≥ 2(x2+1),
luego, tienes dos opciones:
a)
si x > 0, haces pasaje de divisor como factor (observa que no cambia la desigualdad), y queda:
3x2+1 ≥ 2x(x2+1), distribuyes en el segundo miembro, y queda:
3x2+1 ≥ 2x3 + 2x, haces pasajes de términos, ordenas términos, y queda:
-2x3 + 3x2 - 2x + 1 ≥ 0, multiplicas en todos los términos de la inecuación por -1 (observa que cambia la desigualdad), y queda:
2x3 - 3x2 + 2x - 1 ≤ 0, observa que 1 es raíz de la expresión polinómica del primer miembro, factorizas por medio de la Regla de Ruffini, y queda:
(x-1)*(2x2-x+1) ≤ 0,
observa que la expresión polinómica del segundo factor no tiene raíces reales, y como su coeficiente principal es positivo, tienes que toma valores estrictamente mayores que cero, luego haces pasaje de factor como divisor (observa que no cambia la desigualdad), y queda:
x - 1 ≤ 0, haces pasaje de término, y queda:
x ≤ 1,
por lo que el intervalo solución queda:
Ia = (0,1];
b)
si x < 0, haces pasaje de divisor como factor (observa que si cambia la desigualdad), y queda:
3x2+1 ≤ 2x(x2+1), distribuyes en el segundo miembro, y queda:
3x2+1 ≤ 2x3 + 2x, haces pasajes de términos, ordenas términos, y queda:
-2x3 + 3x2 - 2x + 1 ≤ 0, multiplicas en todos los términos de la inecuación por -1 (observa que cambia la desigualdad), y queda:
2x3 - 3x2 + 2x - 1 ≥ 0, observa que 1 es raíz de la expresión polinómica del primer miembro, factorizas por medio de la Regla de Ruffini, y queda:
(x-1)*(2x2-x+1) ≥ 0,
observa que la expresión polinómica del segundo factor no tiene raíces reales, y como su coeficiente principal es positivo, tienes que toma valores estrictamente mayores que cero, luego haces pasaje de factor como divisor (observa que no cambia la desigualdad), y queda:
x - 1 ≥ 0, haces pasaje de término, y queda:
x ≥ 1,
por lo que el intervalo solución queda:
Ia = ∅;
luego, planteas la unión de los dos intervalos, y el conjunto solución de la inecuación queda:
S = (0,1].
Espero haberte ayudado.

Te ayudo con los dos primeros.
1)
Tratamos al numerador (N) y al denominador (D) por separado:
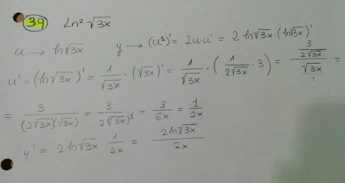
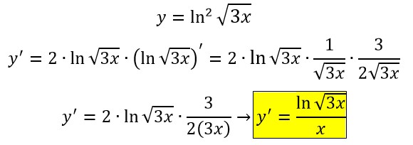
N = -6x2 + 20x - 6 = -2(3x2 - 10x + 3) = -2(x-3)(x-1/3);
D = (x2 - 6x + 9)2 = ( (x-3)2 )2 = (x-3)4;
luego, sustituyes en la expresión del enunciado, y queda:
-2(x-3)(x-1/3) / (x-3)4 = simplificas = -2(x-1/3) / (x-3)3.
2)
Comienza por plantear el límite:
Lím(x→0) f(x) = Lím(x→0) (x2+4x+3)/x2 = ∞ (observa que el numerador tiende a tres y que el denominador tiende a cero),
por lo que tienes que la recta de ecuación: x = 0 es asíntota vertical de la gráfica de la función;
luego, distribuyes el denominador, simplificas, y la expresión de la función queda:
f(x) = 1+ 4/x + 3/x2;
luego, plantea el límite:
Lím(x→∞) f(x) = Lím(x→∞) (1+ 4/x + 3/x2) = 1 (observa que los dos últimos términos tienden a cero),
por lo que tienes que la recta de ecuación y = 1 es asíntota horizontal de la gráfica de la función.
Espero haberte ayudado.
El coste de producción de X unidades d'un bien viene dado por la función ![]()
Sabiendo que el precio de venda de cada unidad es
calcula cual es la producción diaria que hace que el beneficio sea maximo.
Parece facil de plantear: b(x) = p(x) - c(x) (-1/3)x2 -35,5x -20 hago la derivada (-2/3)x -35.5 al aillar me sale negativo
He aplicado la corrección que me habéis puesto antes pero sigo fallando y no sé en donde.
Me podrían corregir la derivada. Muchas gracias