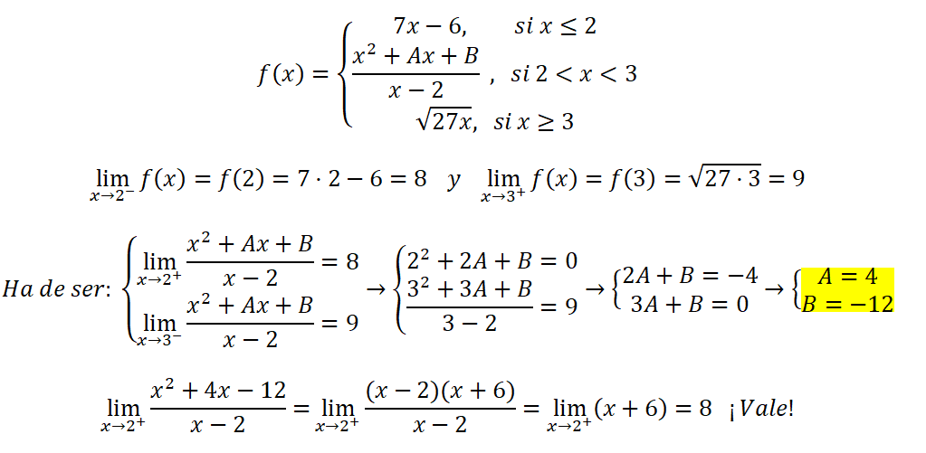
La solución es A=4 y B=-12
Veámoslo:
i) Para valores menores que 2 f(x) es continua pues es un polinomio (todos los polinomios son continuos).
ii) Para valores comprendidos entre 2 y 3 f(x) es continua pues es un cociente de dos funciones continuas (ambas polinomios) y no se anula la del denominador.
iii) Para valores mayores que 3 f(x) es continua pues es raíz cuadrada de una función continua que no se hace negativa.
iv) Para x=2:
lim(x->2-)f(x) = lim(x->2-)(7x-6) = 8
lim(x->2+)f(x) = lim(x->2+) (x2+Ax+B)/(x-2)= (4+2A+B)/0
Si 4+2A+B≠0 entonces la solución será ∞ y tendríamos una discontinuidad de salto infinito => No puede ser, partimos que f(x) es continua
Si 4+2A+B=0 entonces habrá una indeterminación 0/0 => 4+2A+B=0 (primera condición)
v) Para x=3:
lim(x->3-)f(x) = lim(x->3-) (x2+Ax+B)/(x-2)= (9+3A+B)/1= 9+3A+B
lim(x->3+)f(x)= lim(x->3+)√(27x)= √81= 9
Para que exista el lim(x->3)f(x) debe ser 9= 9+3A+B (segunda condición)
Por lo tanto, tenemos que:
4+2A+B=0
9=9+3A+B
que resolviendo nos da A=4 y B=-12
y comprobando:
en x=2
lim(x->2+)f(x) = lim(x->2+) (x2+4x-12)/(x-2)= 0/0 ind => lim(x->2+) (x2+4x-12)/(x-2) = lim(x->2+) [(x-2)(x+6)]/(x-2) = lim(x->2+) (x+6) = 8
por lo tanto: lim(x->2)f(x) = 8
y como f(2)= 7·2-6=8 entonces: lim(x->2)f(x)=f(2) => f(x) es continua en x=2
y en x=3
lim(x->3-)f(x) = 9+3·4-12 = 9
por lo tanto: lim(x->3)f(x) = 9
y como f(3)= √(27·3)=9 entonces: lim(x->3)f(x)=f(3) => f(x) es continua en x=3
Podemos concluir que si A=4 y B=-12 la función f(x) es continua en ℛ
He realizado el siguiente ejercicio de forma correcta. Pero viendo que numerador y denominador son iguales exceptuando un símbolo, me da la sensación de que me podría haber ahorrado algún paso y haber llegado antes al resultado. Estoy en lo cierto?
La fracción no es susceptible de cambios ni de simplificaciones (lo puedes ver más claro justo abajo cuando la factorizas, no hay ningún factor común entre el denominador y numerador).
Es un ejercicio formulado a drede para que desarrolles todo ese proceso...lo solucionaste magistralmente, no te rayes :)
Total de metros recorridos: x= Primer autobús + Segundo autobús + Camina
Primer autobús: 17x/20
Segundo autobús: (x-(17x/20))* 2/3 = [(20x/20)-(17x/20)]* 2/3 = 3x/20* 2/3 = 6x/60 = x/10
Camina: 200metros
x= 17x/20 + x/10 + 200
x= 19x/20 +200
x - 19x/20 = 200
x/20 = 200
x= 4000 metros= 4 km recorre en total.
Si me piden que pruebe la derivabilidad de la función a trozos: f(x) = 1/x si -2 < x < -1
(x2 -3)/2 si -1 < x < 0 en (-2, 0), basta que derive la función, que me saldría -1/x2 y x, y mire f(-1) por la izquierda y por la derecha que me saldrían -1 las dos? Ya habría acabado? No tengo que calcular nada ni con el 2 ni con el 0?
¡Gracias por adelantado!

Para resolver esta matriz lo primero que debes hacer es comprobar que tiene inversa, por lo que haces el determinante y si te da distinto de 0 tiene inversa.
Para calcularla usas el algoritmo gaussiano, en donde pones la matriz dada y al lado la matriz identidad y vas usando operaciones elementales de las matrices para conseguir en la matriz de la izquierda (la dada) y esas mismas operaciones se las haces a la otra matriz y así obtienes la matriz inversa.
Hola, me podrian ayudar con este ejercicio ?
Una persona dispone de 80000 euros para invertir en tres fondos, F1, F2 y F3. En el primer semestre, invierte una cantidad A en el fondo F1 y obtiene un 4% de interés, una cantidad B en el fondo F2 que le renta un 5% de interés, y el resto lo invierte en el fondo F3 con una rentabilidad del 6% de interés. En el segundo semestre, invierte la misma cantidad A en el fondo F1 y obtiene una rentabilidad del 5% de interés, la misma cantidad B en el fondo F2 y obtiene una rentabilidad del 6% de interés, y el resto en el fondo F3 y obtiene un 4% de interés. Al hacer balance encuentra que en el primer semestre ganó 4200 euros de intereses y en el segundo semestre los intereses ascendieron a 3800 euros.
-Plantear un sistema de ecuaciones para determinar las cantidades invertidas cada semestre en cada uno de los fondos F1, F2, F3.
-Resolver el sistema mediante el método de Cramer.
No se si la ecuación que se utiliza es la de capital inicial de interés simple o compuesto y no se como ubicarlas en una matriz.
Gracias :)