me han planteado un problema en clase:
Descomponer la resultante R=(15i+7j+9k) en tres vectores concurrentes que pasen por los puntos P1=(1,2,3); P2=(4,1,0) y P3=(2,1,2).
yo creo q se hace con
la ecuacion de vector unico: Mp= 0+(PxR) pero no estoy segura de que P
sean los puntos que me han dado. Help, please

Plantea que el punto de concurrencia es el origen, y observa que tienes los vectores:
u = OP1 = <1,2,3>,
v = OP2 = <4,1,0>,
w = OP3 = <2,1,2>.
Luego, plantea que el vector R =<15,7,9> es una combinación lineal de los vectores u, v y w:
a*u + b*v + c*w = R, donde a, b y c son constantes cuyos valores debes determinar.
Luego, reemplazas las expresiones de los vectores, y queda la ecuación vectorial:
a*<1,2,3> + b*<4,1,0> + c*<2,1,2> = <15,7,9> (1),
resuelves los productos en los términos, y queda:
<a,2a,3a> + <4b,b,0> + <2c,c,2c> = <15,7,9>,
resuelves la suma vectorial en el primer miembro, y queda:
<a+4b+2c,2a+b+c,3a+2c> = <15,7,9>,
luego, por igualdad entre vectores, igualas componente a componente y tienes el sistema de ecuaciones.
a + 4b + 2c = 15
2a + b + c = 7
3a + 2c = 9,
resuelves el sistema (te dejo la tarea) y su solución es:
a = 1, b = 2, c = 3.
Luego, reemplazas en la ecuación vectorial señalada (1) y queda:
1*<1,2,3> + 2*<4,1,0> + 3*<2,1,2> = <15,7,9>,
luego, resuelves los productos en cada término, y queda:
<1,2,3> + <8,2,0> + <6,3,6> = <15,7,9>.
Espero haberte ayudado.
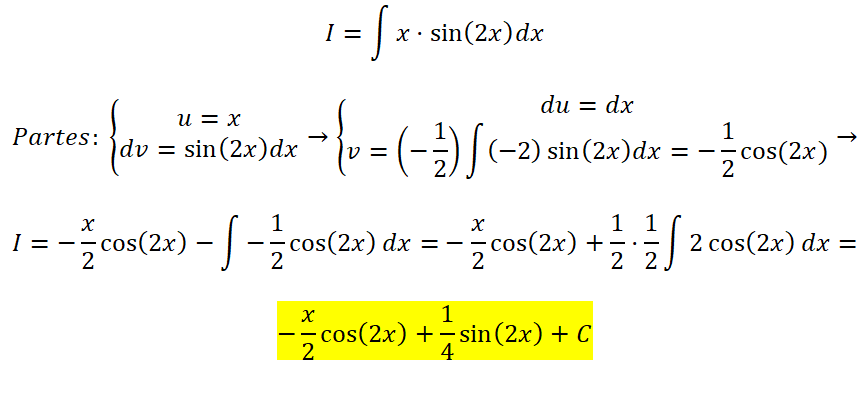
Hola, podrían ayudarme con estas dos integrales por favor:
a) integral de x*sen(2x)dx
b) integral de x2/ 3^√1+x3 dx
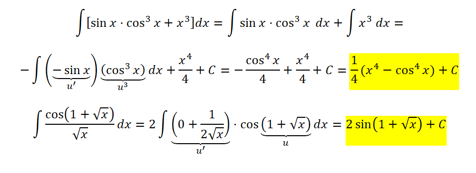
Hola, ayuda con estas dos integrales, por favor:
Integral de (sen(x)cos3(x)+x3)dx
Integral de cos(1+ √x)/ √x dx
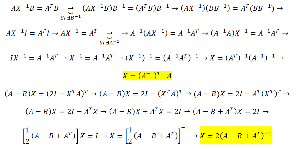
necesito saber como resolver las siguientes ecuaciones matriciales despejando x
A*X^-1*B=A^T*B
(A-B)*X=(2I-X^T*A)^T
Estaría muy agradecido

Plantea las expresiones de las derivadas parciales de la función (observa que es continua en el punto en estudio):
fx = y2*3*tan2x*sec2x (observa que es continua en el punto en estudio),
fy = 2*y*tan3x (observa que es continua en el punto en estudio),
luego, como las derivadas parciales de la función son continuas en el punto en estudio, tienes que la función es diferenciable en un entorno de dicho punto.
Luego, evalúa las derivadas parciales en el punto en estudio (π/3,2):
fx(π/3,2) = 4*3*3*4 = 144,
fy(π/3,2) =2*2*( √(3) )3 = 2*2*3*√(3) = 12*√(3);
y tienes que el gradiente de la función evaluado en el punto en estudio queda expresado:
∇f(π/3,2) = < 144 , 12*√(3) > (1).
Luego, plantea el módulo del vector que indica la dirección:
|v| = √( (√(3)/3)2 + (1/2)2 ) = √(1/3 + 1/4) = √((7/12) = √(21/36) = √(21)/6 = √(3)*√(7)/6 (2).
Luego, con la expresión del vector dirección y las expresiones señaladas (1) (2), puedes plantear para la derivada direccional de la función en el punto en estudio:
Dvf(π/3,2) = ∇f(π/3,2) • v / |v|, sustituyes expresiones, y queda:
Dvf(π/3,2) = < 144 , 12*√(3) > • < √(3)/3 , 1/2 > / (√(3)*√(7)/6), resuelves el producto escalar en el numerador, y queda:
Dvf(π/3,2) = ( 144*√(3)/3 + 12*√(3)*(1/2) ) / (√(3)*√(7)/6), resuelves términos en el numerador, y queda:
Dvf(π/3,2) = ( 48*√(3) + 6*√(3) ) / (√(3)*√(7)/6), reduces términos semejantes en el numerador, y queda:
Dvf(π/3,2) = 54*√(3) / (√(3)*√(7)/6), simplificas, y queda:
Dvf(π/3,2) = 54 / (√(7)/6), resuelves la división principal, y queda:
Dvf(π/3,2) = 324/√(7), racionalizas el denominador, y queda:
Dvf(π/3,2) = 324*√(7)/7 ≅ 122,460.
Espero haberte ayudado.
Señala el signo de:
sen170°cos240°+tan210°.cos100°/sec200°

Observa que tienes los ángulos cuyas medidas son:
a)
170°, que pertenece al 2° cuadrante, por lo que tienes que sen(170°) es positivo;
240°, que pertenece al 3° cuadrante, por lo que tienes que cos(240°) es negativo;
luego, tienes que el primer término es el producto de dos factores con signos distintos, por lo que su signo es positivo;
2°)
210°, que pertenece al 3° cuadrante, por lo que tienes que tan(210°) es positiva;
100°, que pertenece al 2° cuadrante, por lo que tienes que cos(100°) es negativo;
200°, que pertenece al 3° cuadrante, por lo que tienes que sec(200°) es negativa;
luego, tienes que el segundo término es el producto de dos factores con signos distintos, dividido entre un divisor cuyo signo es negativo, por lo que su signo es positivo.
Luego, tienes que la expresión de tu enunciado es positiva porque es suma de dos términos positivos.
Espero haberte ayudado.
El primer término es NEGATIVO (positivo por negativo)
El segundo término es positivo
Entonces la expresión completa resulta indeterminada (no sabemos si es positiva o negativa), porque (-)+(+) dependerá de qué valor acompañe a cada término.
Tienes que resolverlo calculando los valores concretos de cada ángulo (haciendo reducción al 1er cuadrante por ejemplo) y sustituirlos en tu ecuación original
En un triángulo rectángulo ABC (B=90°) se cumple que: 3tanA=2cscC ,calcula M=√5.tanA+6secC

Observa que los ángulos A y C son complementarios, por lo que tienes: senC = cosA (1), y tienes: cosC = senA (2).
Luego, tienes la igualdad:
3*tanA = 2*cosecC, sustituyes la expresión de la cosecante en función del seno, y queda:
3*tanA = 2*(1/senC), resuelves el producto en el segundo miembro, y queda:
3*tanA = 2/senC, expresas a la tangente del ángulo A en función de su seno y de su coseno, aplicas la identidad señalada (1), y queda:
3*senA/cosA = 2/cosA, haces pasaje de divisor como factor, simplificas, y queda:
3*senA = 2, haces pasaje de factor como divisor, y queda:
senA = 2/3 (3).
Luego, plantea la expresión de la secante del ángulo C en función de su coseno:
secC = 1/cosC, aplicas la identidad señalada (2) y queda:
secC = 1/senA, reemplazas el valor señalado (3), y queda:
secC = 1/(2/3), resuelves el segundo miembro, y queda:
secC = 3/2 (4).
Luego, plantea la expresión del coseno del ángulo A en función de su seno:
cosA = √(1 - sen2A), reemplazas el valor señalado (3), resuelves el segundo término en el argumento de la raíz, y queda:
cosA = √(1 - 4/9), resuelves el argumento de la raíz, y queda:
cosA = √(5/9), distribuyes la raíz, resuelves el denominador, y queda:
cosA = √(5)/3 (5).
Luego, expresas a la tangente del ángulo A en función de su seno y de su coseno, y queda:
tanA = senA/cosA, reemplazas los valores señalados (3) (5), y queda:
tanA = (2/3) / (√(5)/3, resuelves y queda:
tanA = 2/√(5) (6),
Luego, plantea la expresión M de tu enunciado:
M = √(5)*tanA + 6*secC,
reemplazas los valores señalados (4) (6) y queda:
M = √(5)*( 2/√(5) ) + 6*(3/2),
simplificas en el primer término, resuelves en el segundo término, y queda:
M = 2 + 9,
por lo tanto tienes:
M = 11.
Espero haberte ayudado.