Para que un sistema sea ligado vale con que cualquier de los parámetros (los que multiplican a los vectores) sea 0 o han de ser todos los parámetros iguales a 0. Gracias.
¿Esta bien reducida esta matriz?
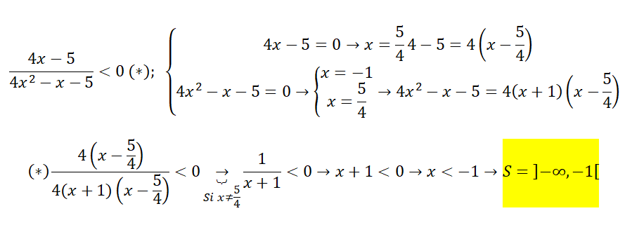
Tengo que rellenar los resultados en un cuestionario con opciones limitadas, el círculo naranja indica el resultado que no me corresponde con ningún resultado posible...

Te ayudo con la determinación del rango de la matriz, según los diferentes valores de la indeterminada a.
Tienes la matriz, cuyos elementos son:
1 1 -1 -a
2 1 -a 1
1 a 1 1
A la fila 2 le restas el doble de la fila 1, a la fila 3 le restas la fila 1, y queda:
1 1 -1 -a
0 -1 (2-a) (1+2a)
0 (a-1) 2 (1+a)
A la fila 3 le restas la fila 2, y queda:
1 1 -1 -a
0 -1 (2-a) (1+2a)
0 a a -a
Luego, tienes dos opciones:
1°)
a = 0,
y la matriz queda:
1 1 -1 0
0 -1 2 1
0 0 0 0
A la fila 1 le sumas la fila 2, y queda:
1 0 1 1
0 -1 2 1
0 0 0 0
A la fila 2 la multiplicas por -1, y queda:
1 0 1 1
0 1 -2 -1
0 0 0 0
y observa que el rango de la matriz es 2.
2°)
a ≠ 0,
A la fila 3 la divides por a, y queda:
1 1 -1 -a
0 -1 (2-a) (1+2a)
0 1 1 1
A la fila 1 le sumas la fila 2, a la fila 3 le sumas la fila 2, y queda:
1 0 (1-a) (1+a)
0 -1 (2-a) (1+2a)
0 0 (3-a) (2+2a)
A la fila 2 la multiplicas por -1 y queda:
1 0 (1-a) (1+a)
0 1 (-2+a) (-1-2a)
0 0 (3-a) 2(1+a)
Luego, tienes dos opciones:
a)
a = 3
y la matriz queda:
1 0 -2 4
0 1 1 -7
0 0 0 8,
y observa que el rango de la matriz es 3;
b)
a ≠ 3,
y observa que el rango de la matriz es 3.
Espero haberte ayudado.
Tengo dos preguntas. La primera me dice el ejercicio que busque una aproximación de 4√11 con un error mas pequeño que 0,05. Como lo hago con el T. de Bonzalo si no tengo intervalo?. El segundo dice que comprueve un valor de x que cumpla la igualdad Inx= e-x. Además hay que aproximar hasta las décimas. En este tampoco tengo intervalos, y la verdad no se que hacer.