El ángulo de elevación de la cúspide de una torre es de 60° a 72 metros de ella, estando el observador a √3 metros sobre el suelo.¿ Cuánto es la altura de la torre?
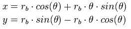
Que tal hermanos, estoy haciendo un programa que dibuje un engrane. Los dientes del engrane se generan con una "involuta" y esta debe dejar de dibujarse cuando "toque" el circulo de adendo.
Estoy haciendolo con ecuaciones parametricas y necesito encontrar ese punto de interseccion entre la involuta y el circulo de adendo.
Para la involuta:
Y para el circulo de adendo:
Obviamente tengo que igualar las x con x y Y con Y y me queda un sistema de ecuaciones de la sig forma:
rb*cos(θ)+rb*θ*sin(θ)-r*cos(t)=0
rb*sin(θ)-rb*θ*cos(θ)-r*sin(t)=0
Pero este sistema de ecuaciones no lo he podido resolver. El valor que me interesa conocer es el del angulo θ, en funcion de rb y r. Y ni siquiera necesito todos los valores posibles, solo el primero, la primera interseccion.
Si alguien pudiera ayudarme con eso le estaria eternamente agradecido.

¡Hola! Nos encantaría ayudarte, pero no solemos responder dudas universitarias que no tengan que ver específicamente con los vídeos que David Calle ha grabado como excepción. O de otras asignaturas que no sean Matemáticas, Física y Química. Lo sentimos de corazón… Esperamos que lo entiendas.
Ojalá algún unicoo universitario se anime a ayudarte (de hecho, lo ideal es que todos los universitarios intentarais ayudaros los unos a los otros).
rb*cos(θ)+rb*θ*sin(θ)-r*cos(t)=0
rb*sin(θ)-rb*θ*cos(θ)-r*sin(t)=0
----------------------------------------------------
Sumando ambas ecuaciones:
(1-θ)*(rb*cos(θ)) + (θ-1)*(rb*sin(θ)) -r(cos(t)*sin(t))= 0
Poniendo en función de rb y r la suma de las ecuaciones:
rb*(1-θ)*cos(θ) + rb*(θ-1)*sin(θ) -r(cos(t)*sin(t))= 0
rb[(1-θ)*cos(θ) + (θ-1)*sin(θ)] -r[cos(t)*sin(t)]= 0
rb[(1-θ)*cos(θ) + (θ-1)*sin(θ)] = r[cos(t)*sin(t)]
rb/r = [cos(t)*sin(t)]/ [(1-θ)*cos(θ) + (θ-1)*sin(θ)]
Hola, tengo este ejercicio de trigonometría y me da 18 kilometros de resultado, podríais echarle un ojo?
Dos vehículos parten de direcciones perpendiculares a velocidades de 45 km/h y 73 km/h respectivamente. ¿Qué distancia les separará al cabo de 35 min?
gracias