Foro de preguntas y respuestas de Matemáticas

logo beUnicoos
Los foros de unicoos se han unificado en nuestra nueva plataforma beUnicoos. Para dejar nuevas preguntas deberás hacerlo allí, donde además podrás encontrar nuevas asignaturas y herramientas para ayudarte más con tus estudios.

  • icon

    Kevin Esteban
    el 23/8/17

    Hola muy buenas noches unicoos, perdonen tengo esta inquietud en estadistica; la verdad he estado investigando y en la web no me aparece nada específico. Si podrian argumentar la respuesta les estaría muy agradecido. 

    -Escoja la opción que considere correcta

    *La varianza de la media muestral disminuye si

    a) si la variable se distribuye normal 

    b) Si los datos de la muestra son a partir de una población finita 

    c) si se consigue aumentar el número de datos en la muestra

    d) si la varianza poblacional es conocida 




    replythumb_up0 voto/sflag
    icon

    Antonius Benedictus
    el 23/8/17

    Es el apartado c) , Kevin.

    La varianza de la media  muestral es inversamente proporcional al cuadrado del tamaño muestral.


    thumb_up1 voto/sflag
    icon

    Kevin Esteban
    el 23/8/17

    Profe le agradezco mucho de su tiempo, me ha salvado de un gran lío . 


    thumb_up0 voto/sflag
  • icon

    Rj Mitte
    el 23/8/17

    ayuda con este ejercicio: Encuentre la ecuación de la recta que satisface las condiciones dadas

    -pasa por (2,3) y es perpendicular a x-4y+1=0

    yo la he solucionado así´:

    x-4y+1=0

    -4y=-x-1

    y=  -x-1/-4

    o de esta otra forma esta bien?':

    x+1=4y

    x/4+1/4=y


    como seria la pendiente entonces??


    replythumb_up0 voto/sflag
    icon

    Desencadenado
    el 23/8/17

    por ser perpendicular la pendiente tiene que ser inversa multiplicativa y de signo contrario, en éste caso la pendiente original es 1/4, entonces queda -4.


    thumb_up1 voto/sflag
  • icon

    Guillermo Martin Gonzalez
    el 23/8/17

    hola como están tengo un problema con unos ejercicios de derivadas utilizando su definición que no se como se hacen

    son las siguiente :

    F(x)= X³

    F(x)=x

    f(x)=4 

    no se si es que tengo que derivarla con la tabla y después aplicar la  función   f(x)=  f( x+h)−f(x) / h y tambien sabiendo que h tiende a 0

    replythumb_up0 voto/sflag
    icon

    Ángel
    el 23/8/17

    Utilizando la definición:

    https://www.unicoos.com/video/matematicas/1-bachiller/derivadas/definicion-de-derivada/derivada-utilizando-la-definicion-01


    Debes obtener con la tabla:

    f(x)= x³   ------->  f´(x)= 3x²

    f(x)=x    ------->  f´(x)= 1

    f(x)=4    ------->  f´(x)= 0


    Los resultados obtenidos por definición y con la tabla han de ser evidentemente iguales.


    Si dudas en algo manda tu resolución y te lo corregimos.

    thumb_up1 voto/sflag
  • icon

    Guillem De La Calle Vicente
    el 23/8/17

    Dibuje mediante un ordenador o calculadora las gráficas de las funciones dadas. Examine las gráficas (ampliándolas o reduciéndolas si es necesario) y busque las simetrías. ¿Respecto a qué rectas y/o puntos son simétricas las gráficas? Intente verificar sus conclusiones algebraicamente.

    f(x)=x⁴-6x³+9x²-1

    replythumb_up0 voto/sflag
    icon

    Ángel
    el 23/8/17

    Simétrica respecto a la recta vertical x=3/2 con y

    thumb_up0 voto/sflag
  • icon

    Fermat
    el 23/8/17
    flag

    Necesito ayuda con este ejercicio, no sé como plantearlo

    replythumb_up0 voto/sflag

    Usuario eliminado
    el 23/8/17

    Haciendo cortes horizontales:


    Haciendo cortes verticales:


    thumb_up1 voto/sflag
    icon

    Fermat
    el 23/8/17

    Muchas gracias Antonio, me ha quedado totalmente claro. ¿Te puedo preguntar que editor usaste?


    Un saludo!

    thumb_up0 voto/sflag

    Usuario eliminado
    el 24/8/17

    LaTeX. Hay varios editores online. Yo uso siempre el primero que me da san google. Saludos!

    thumb_up0 voto/sflag
  • icon

    Yessenia Montes Villegas
    el 23/8/17
    flag

    pueden ayudarme con esta ecuacion logaritmica no me sale :(


    ln (x-1)-ln(√x-5)=ln√5-x

    replythumb_up0 voto/sflag
    icon

    Fermat
    el 23/8/17

    ¿ √(x-5) ó √x-5 ?

    thumb_up0 voto/sflag
    icon

    Fermat
    el 23/8/17


    thumb_up0 voto/sflag
    icon

    Yessenia Montes Villegas
    el 23/8/17

    del lado izquierdo es √x-5  y  del lado derecho es √5-x   y eso es lo que me confunde :(


     

    thumb_up0 voto/sflag
    icon

    Ángel
    el 23/8/17

    https://es.symbolab.com/solver/step-by-step/ln%5Cleft(x-1%5Cright)-ln%5Cleft(%5Csqrt%7Bx%7D-5%5Cright)%3Dln%5Cleft(%5Csqrt%7B5%7D-x%5Cright)

    Tienes que utilizar después de obtener una ecuación polinómica al hacer cambio de variable métodos numéricos como Newton-Raphson.

    thumb_up0 voto/sflag
  • icon

    María José
    el 22/8/17
    flag

    Bueno visto el primer contacto.... ¿Aguien me puede ayudar a entender el orden de los videos? gracias


    replythumb_up0 voto/sflag
    icon

    Desencadenado
    el 22/8/17

    Depende del tema que quieras ver, hay videos para distintos cursos. Siento no poder ayudarte más, no se entiende bien la pregunta. Saludos!


    thumb_up0 voto/sflag
    icon

    Ángel
    el 23/8/17

    Los vídeos están ordenados por materias: matemáticas, física, química y tecnología

    Estas 4 materias están ordenadas por cursos según la enseñanza española (de 1º hasta 4º de la ESO y después 1º y 2º de Bachiller, que es el nivel más avanzado); hay incluso algunos vídeos de cálculo y álgebra universitaria.

    Si nos dices en qué materia estás interesada y tu curso/nivel, podríamos indicarte qué bloques de vídeos te vendría mejor echarles un vistazo.

    Un saludo.

    thumb_up0 voto/sflag
  • icon

    Alex Domínguez
    el 22/8/17
    flag

    Hola, me gustaría que me ayudaran a despejar esta expresión, ya que me da un resultado que no es

    Debe de dar 7.9 * 10^-7

    Gracias

    replythumb_up0 voto/sflag
    icon

    Ángel
    el 23/8/17


    thumb_up0 voto/sflag
    icon

    Alex Domínguez
    el 23/8/17

    Muchas Gracias

    thumb_up0 voto/sflag
  • icon

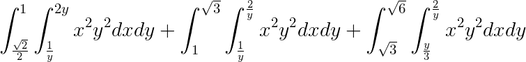
    Valentina Villegas Picazo
    el 22/8/17
    flag

    Buenas tardes 

    pido ayuda con este ejercicio, sé que que lo que hice esta mal, así que si me explican que hacer, lo agradecería 

    replythumb_up0 voto/sflag
    icon

    Axel Morales Piñón.
    el 23/8/17

    Adjunta la integral original Vale, y te ayudamos. 

    thumb_up0 voto/sflag
    icon

    Valentina Villegas Picazo
    el 23/8/17
    flag

    ahi esta Alex! 

    es una razon, se encuentra en negrita. intente hacer algo pero no funcione, si me ayudas te lo agradeceria

    thumb_up0 voto/sflag
    icon

    César
    el 23/8/17


    thumb_up0 voto/sflag
  • icon

    Eduardo Nicolas Garcia
    el 22/8/17

    Buenas tardes ¿Alguien podría ayudarme a encontrar las raíces de la siguiente función? Es la siguiente (-x^4+2x^2+1) Y explicarme cómo lo hizo? He probado por división sintética y no me sale. Gracias de antemano


    replythumb_up0 voto/sflag
    icon

    Fermat
    el 23/8/17


    thumb_up1 voto/sflag