Foro de preguntas y respuestas de Matemáticas

logo beUnicoos
Los foros de unicoos se han unificado en nuestra nueva plataforma beUnicoos. Para dejar nuevas preguntas deberás hacerlo allí, donde además podrás encontrar nuevas asignaturas y herramientas para ayudarte más con tus estudios.

  • icon

    Ignacio
    el 22/8/17

    Sabéis cuales son las formulas más usadas o típicas de examen en lo que se refiere a ejercicios de optimización (Áreas, volúmenes...)?

    Si me podéis pasar alguna tabla de ellas os lo agradecería un montón.

    replythumb_up0 voto/sflag
    icon

    Guillem De La Calle Vicente
    el 22/8/17

    http://calculo.cc/temas/temas_bachillerato/primero_ciencias_sociales/funciones_derivadas_apli/problemas/p_optimizacion_3.html

    Saludos.

    thumb_up0 voto/sflag
  • icon

    Ignacio
    el 22/8/17

    Este ejercicio se hace con integrales?

    Me lo podeis resolver por favor? Gracias de antemano.

    replythumb_up0 voto/sflag
    icon

    Guillem De La Calle Vicente
    el 22/8/17

    T

    thumb_up1 voto/sflag
  • icon

    Adrián Rodriguez Machuca
    el 22/8/17
    flag

    6x3 - 13x2 + 4 = 0


    replythumb_up0 voto/sflag

    Usuario eliminado
    el 22/8/17
    flag


    thumb_up0 voto/sflag
    icon

    Desencadenado
    el 22/8/17


    thumb_up0 voto/sflag
    icon

    Desencadenado
    el 22/8/17


    thumb_up0 voto/sflag
    icon

    Ángel
    el 25/8/17

    6x3 - 13x+ 4 = 0


    Haces Ruffini en el polinomio 6x3 - 13x+ 4

        | 6   -13     0     4

    2  |       12    -2    -4

         ____________________

        | 6    -1     -2     0


    Entonces x=2



    Sólo nos queda hallar el valor de

    6x2-x-2=0

    Solucionando con la formula de segundo grado obtenemos:

    x= -1/2  ,  x= 2/3


    Las 3 soluciones de x son x= -1/2 , x= 2/3 , x=2

    thumb_up0 voto/sflag
  • icon

    Guillem De La Calle Vicente
    el 22/8/17


    replythumb_up0 voto/sflag

    Usuario eliminado
    el 22/8/17

    11/16

    thumb_up0 voto/sflag

    Usuario eliminado
    el 22/8/17

    Pero Guillem, me has quitado cuatro bombillas. ¿A qué se debe pues?

    thumb_up0 voto/sflag
    icon

    Guillem De La Calle Vicente
    el 22/8/17

    No hay el procedimiento...

    Saludos.

    thumb_up1 voto/sflag

    Usuario eliminado
    el 22/8/17

    Lo tomé como un ejercicio de cálculo mental y rápido. Y al principio lo valoraste con 5. Bonita Carpa. Saludos para ti también.


    thumb_up0 voto/sflag
  • icon

    laila
    el 22/8/17

    Calcula las razones trigonometricas:

    a)-1.125º

    b) -1.060º

    Alguien que me pueda ayudar porfavor

    replythumb_up0 voto/sflag
    icon

    Guillem De La Calle Vicente
    el 22/8/17

    Simplemente es poner en la calculadora estos valores. Poner:

    sin(-1125º)=-√(2)/2

    cos(-1125º)=√(2)/2

    tan(-1125º)=-1

    sin(-1060º)=0.342

    cos(-1060º)=0.9397

    tan(-1060º)=0.36397

    Es interesante reducir estos ángulos a una vuelta para compararlos con otroa ángulos para sacar sus razones trigonométricas más fácil.

    -1125º/360º=cuociente(3) y residuo(45). Por tanto, -1125º=-45º=-45º+360º=315º. Sus razones se pueden comparar con los de 45º que es lo que he hecho para calcular las razones trigonométricas. En el b) esto no es tan útil, pero también lo puedes hacer: 1060º/360º=cuociente(2)residuo(340). Por tanto -1060º=-340º=-340º+360º=20º.
    Saludos.

    thumb_up1 voto/sflag
    icon

    laila
    el 29/8/17

    Muchas gracias


    thumb_up0 voto/sflag
  • icon

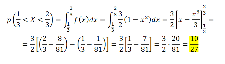
    ESTFANIA
    el 22/8/17

    Buenas tardes unicoos, en este ejercicio como sería la solución. Sinceramente no sé cómo empezar por mucho que lo intente. 

    replythumb_up0 voto/sflag
    icon

    Guillem De La Calle Vicente
    el 22/8/17


    thumb_up2 voto/sflag
    icon

    Guillem De La Calle Vicente
    el 22/8/17


    thumb_up2 voto/sflag
  • icon

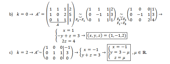
    ESTFANIA
    el 22/8/17

    Hola, alguien podría ayudarme a resolver esto por favor.

    replythumb_up0 voto/sflag
    icon

    Antonius Benedictus
    el 22/8/17


    thumb_up2 voto/sflag
    icon

    Laura
    el 22/8/17

    En este caso no sería en la operación del determinante de la columna 1 menos la columna 2, en lugar de ser 1, sería -1? 

    thumb_up1 voto/sflag
  • icon

    Guillem De La Calle Vicente
    el 22/8/17


    replythumb_up0 voto/sflag
    icon

    Antonius Benedictus
    el 22/8/17


    thumb_up0 voto/sflag
  • icon

    Erika Zapata
    el 22/8/17

    Queria saber si este ejercicio esta bien el de las luces

    replythumb_up0 voto/sflag
    icon

    Ángel
    el 22/8/17


    thumb_up0 voto/sflag
    icon

    Guillem De La Calle Vicente
    el 22/8/17

    8=2³

    16=2⁴

    12=2²·3

    mcm(8,12,16)=2⁴·3=48

    Cada 48 segundos.

    thumb_up0 voto/sflag
  • icon

    Nazaret
    el 22/8/17


    Buenas tardes unicoos!! En este ejercicio la frecuencia absoluta cuál sería ,1 ?

    replythumb_up0 voto/sflag
    icon

    Ángel
    el 22/8/17

    La frecuencia acumulada se correspondería al código del alumno.

    Por ejemplo, el que tiene como código 6 podríamos interpretar que es el fi con i=6, esto es: f6 =f5+1  

    En general: cod_alumno= fac= fac-1 +1

    thumb_up1 voto/sflag

    Usuario eliminado
    el 22/8/17
    flag

    En este ejercicio no necesitas las frecuencias. Te piden gráfico de dispersión, recta de regresión con una estimación. Y que interpretes los coeficientes de correlación y determinación

    thumb_up0 voto/sflag