Foro de preguntas y respuestas de Matemáticas

logo beUnicoos
Los foros de unicoos se han unificado en nuestra nueva plataforma beUnicoos. Para dejar nuevas preguntas deberás hacerlo allí, donde además podrás encontrar nuevas asignaturas y herramientas para ayudarte más con tus estudios.

  • icon

    Fernando Navarro
    el 22/8/17

    Necesito calcular los extremos relativos de estas funciones. Me podrían ayudar?

    1) f(x) = x4-12x3+48x2-64x

    2) f(x) = 2x5/3 - 5x4/3

    replythumb_up0 voto/sflag
    icon

    Ángel
    el 22/8/17

    Modo de proceder

    http://www.vitutor.com/fun/5/c_9.html

    Ejemplos:

    http://www.vitutor.com/fun/5/c_a.html


    En cuanto a las derivadas tienes que saber:

    http://www.vitutor.com/fun/4/b_1.html


    Intenta hacerlos y te los corregimos.

    thumb_up0 voto/sflag
  • icon

    Erika Zapata
    el 22/8/17

    esto como lo resolveria ? 

    replythumb_up0 voto/sflag
    icon

    Guillem De La Calle Vicente
    el 22/8/17

    a) 36=2²·3²,       45=3²·5,            63=3²·7

    mcm(36,45,63)=2²·3²·5·7=1260

    dcm(36,45,63)=3²=9

    b) 60=2²·3·5,       40=2³·5,            150=2·3·5²

    mcm(40,60,150)=2³·3·5²=600

    dcm(40,60,150)=2·5=10

    c) 20=2²·5,       80=2⁴·5,            240=2⁴·3·5

    mcm(20,80,240)=2⁴·3·5=240

    dcm(20,80,240)=2²·5=20

    Saludos

    thumb_up0 voto/sflag
    icon

    Desencadenado
    el 22/8/17


    thumb_up0 voto/sflag
  • icon

    Erika Zapata
    el 22/8/17

    Como seria este el II 

    replythumb_up0 voto/sflag
    icon

    Ángel
    el 22/8/17

    mcm(2,3,4)= 12 días

    El día 1 de Abril coincidieron y cada 12 días coincidirán, por tanto también coincidirán estos días:

    1Abril + 12 días= 13 de Abril 

    13 Abril + 12 días = 25 de Abril

    25 Abril + 12 días = MAYO(no nos interesa, porque el enunciado nos pregunta por Abril)

    thumb_up0 voto/sflag
    icon

    Guillem De La Calle Vicente
    el 22/8/17

    2=2

    4=2²

    3=3

    Hallamos el mínimo común múltiplo para calcular cuando van a coincidir:

    mcm(2,3,4)=2²·3=12

    Cada 12 días coinciden. 1 de Abril + 12  = 13 de Abril + 12 =25 de Abril

    Saludos.

    thumb_up0 voto/sflag
    icon

    Desencadenado
    el 22/8/17
    flag


    thumb_up0 voto/sflag
  • icon

    Andres Sampayo
    el 22/8/17

     ¿alguien me podría ayudar?

    replythumb_up0 voto/sflag
    icon

    Antonius Benedictus
    el 22/8/17


    thumb_up0 voto/sflag
  • icon

    Erika Zapata
    el 22/8/17

    Esto esta bien? Responde a la pregunta? 

    replythumb_up0 voto/sflag
    icon

    Guillem De La Calle Vicente
    el 22/8/17

    18=2·3²

    6=2·3

    27=3³

    Hallamos el mínimo común múltiplo para calcular cuando van a coincidir. El mcm son los términos repetidos y no repetidos con mayor exponente. Por tanto:

    mcm(6,18,27)=2·3³=2·27=54

    Luego cada 54 días vuelven a coincidir. Salieron el 3 de mayo y como mayo tiene 31 días, viajan 28 días+26 días de junio=54. Vuelven a coincidir el 26 de junio.

    Saludos.

    thumb_up1 voto/sflag
    icon

    Desencadenado
    el 22/8/17

    Esta mal descompuesto en factores!

    thumb_up0 voto/sflag
    icon

    Desencadenado
    el 22/8/17


    thumb_up0 voto/sflag
  • icon

    Ignacio
    el 22/8/17

    Es lo mismo e^1/2 y raiz cuadrada de e? Gracias


    replythumb_up0 voto/sflag
    icon

    Desencadenado
    el 22/8/17

    Efectivamente Ignacio es correcto.

    thumb_up0 voto/sflag
    icon

    Ángel
    el 22/8/17

    Es cierto que e elevado a "un medio" es lo mismo que la raíz cuadrada de e

    e^(1/2) = √e


    En general, elevar algo a 1/2 es como hacer la raíz cuadrada de ese "algo"

    thumb_up0 voto/sflag
  • icon

    Guillem De La Calle Vicente
    el 22/8/17


    replythumb_up0 voto/sflag
    icon

    Antonius Benedictus
    el 22/8/17


    thumb_up0 voto/sflag
  • icon

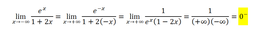
    Ignacio
    el 22/8/17

    No entiendo porque el lim cuando x-> -inf de e^x/1+2x da cero. Me lo podeis explicar? Gracias.

    replythumb_up0 voto/sflag
    icon

    Antonius Benedictus
    el 22/8/17


    thumb_up0 voto/sflag
  • icon

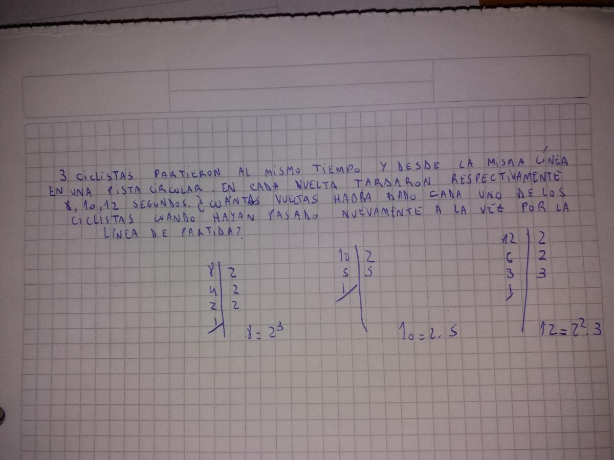
    Erika Zapata
    el 22/8/17

    como seria esto lego hasta factorizar pero no se como responder a la pregunta hay q buscar mcm o dcm

    replythumb_up0 voto/sflag
    icon

    Ángel
    el 22/8/17

    8= 2³

    10=5*2

    12=2²*3


    Mínimo común múltiplo: Es el número más pequeño que es múltiplo de 8, 10 y 12 (a la vez)

    Se calculan factores comunes y no comunes con el mayor exponente

    m.c.m(8,10,12)= 2³*3*5 = 8*3*5= 120 segundos tardarán en encontrarse en la línea de partida


    Al pasar 120 segundos:

    *El que tarda 8 segundos habrá dado 120/8= 15 vueltas

    *El que tarda 10 segundos habrá dado 120/10= 12 vueltas

    *El que tarda 12 segundos habrá dado 120/12= 10 vueltas

    thumb_up0 voto/sflag
  • icon

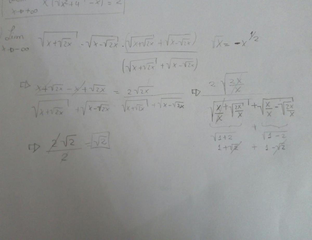
    Sofia Enriquez
    el 22/8/17

    esta bien ?

    replythumb_up0 voto/sflag
    icon

    Guillem De La Calle Vicente
    el 22/8/17

    Creo que no, porque este límite no existe. Fíjate en su gráfica y lo verás.

    Saludos.


    thumb_up0 voto/sflag