Foro de preguntas y respuestas de Matemáticas

logo beUnicoos
Los foros de unicoos se han unificado en nuestra nueva plataforma beUnicoos. Para dejar nuevas preguntas deberás hacerlo allí, donde además podrás encontrar nuevas asignaturas y herramientas para ayudarte más con tus estudios.

  • icon

    Sofia Enriquez
    el 22/8/17

    AYUDA CON ESTOS 2 EJERCICIOS,GRACIAS DE ANTEMANOOO

    replythumb_up0 voto/sflag
    icon

    Guillem De La Calle Vicente
    el 22/8/17


    thumb_up1 voto/sflag
    icon

    Sofia Enriquez
    el 22/8/17

    Ayuda con el apartado 5 por favor '


    thumb_up0 voto/sflag
    icon

    Guillem De La Calle Vicente
    el 22/8/17

    No existe este límite en los números reales. Existe en los complejos.

    thumb_up0 voto/sflag
  • icon

    Nazaret
    el 22/8/17

    Buenas noches me gustaria saber si hay algún vídeo en el que se explique el chi cuadrado, ya que he buscado pero no lo encuentro y supongo que no estará.

    Gracias de antemano!!

    replythumb_up0 voto/sflag
  • icon

    Luis Villalobos Rojo
    el 22/8/17
    flag

    hola, quisiera saber quien me puede ayudar con este ejercicio es sobre razón de cambio espero alguna respuesta u.u

    replythumb_up0 voto/sflag
    icon

    Ángel
    el 22/8/17

    icon

    Luis Villalobos Rojo
    el 22/8/17

    es razon de cambio es sobre calculo, no es fisica :x


    thumb_up0 voto/sflag
  • icon

    Erika Zapata
    el 22/8/17

    Y estos q no me salen

    replythumb_up0 voto/sflag
    icon

    Ángel
    el 22/8/17


    thumb_up1 voto/sflag
  • icon

    Erika Zapata
    el 22/8/17

    Queria saber si esta bien y los otros no me salen

    replythumb_up0 voto/sflag
    icon

    Ángel
    el 22/8/17


    thumb_up0 voto/sflag
  • icon

    Erika Zapata
    el 22/8/17

    Hola queria saber como es en lenguaje simbolico esto que me pide

    replythumb_up0 voto/sflag
    icon

    Ángel
    el 22/8/17


    thumb_up0 voto/sflag
  • icon

    Lola
    el 22/8/17
    flag

    Hola Unicoos,tendrian algun ejemplo de como seria efectuar un analisis descriptivo de los datos acorde a su estructura? Incluir graficos que se consideren de utilidad y extraer conclusiones.


    replythumb_up0 voto/sflag
    icon

    Ángel
    el 22/8/17

    Pon un ejercicio relativo al tema o una descripción más clara del tema al que te refieres.

    thumb_up0 voto/sflag
    icon

    Lola
    el 22/8/17

    Este es el ejercicio:



    thumb_up0 voto/sflag
  • icon

    LuzG
    el 22/8/17

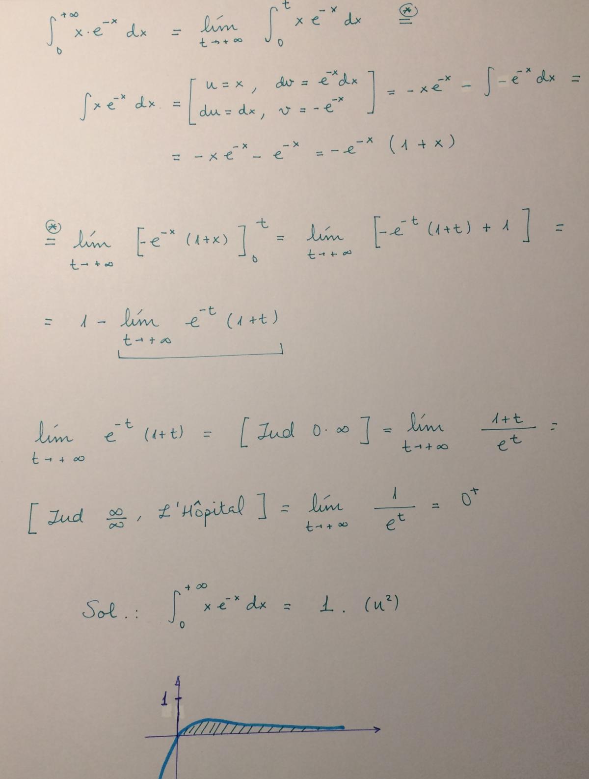
    hola ¿ como resuelvo el ejercicio c) ?

    replythumb_up0 voto/sflag
    icon

    Fermat
    el 22/8/17


    thumb_up1 voto/sflag
    icon

    LuzG
    el 22/8/17

    Muchas gracias 


    thumb_up0 voto/sflag
  • icon

    Angelo Gallegos Parra
    el 21/8/17

    me podran ayudar porfavor 

    replythumb_up0 voto/sflag
    icon

    Antonius Benedictus
    el 22/8/17

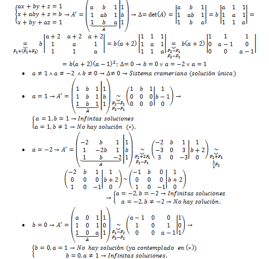
    Utiliza cambios de variable para obtener un sistema lineal:

    r=2^x

    s=3^y

    t=4^z

    thumb_up0 voto/sflag
  • icon

    Angelo Gallegos Parra
    el 21/8/17


    replythumb_up0 voto/sflag
    icon

    Antonius Benedictus
    el 22/8/17


    thumb_up0 voto/sflag