¡UPS! Para ver vídeos en la web debes estar registrado, es totalmente gratuito.

Recuerda además que sólo por ser unicoo, GRATIS, podrás dejar tus dudas en los foros de beUnicoos, acumularás energy y help points y ganarás decenas de medallas. Registrarte solo te llevará unos segundos. Nosotros somos unicoos ¿y tú? #nosvemosenclase

Posicion relativa de recta y plano 01

Correspondiente a 2º de Bachiller, averiguaremos la POSICION RELATIVA de una RECTA y un PLANO (secante, paralela o coincidente), estudiando si el vector normal del plano y el vector director de la recta son o no perpendiculares. En caso de no ser perpendiculares (su producto escalar no es cero), la recta será SECANTE al plano. Si son perpendiculares (su producto escalar es cero), la recta será COINCIDENTE al plano si un punto cualquiera de la recta pertenece al plano y será PARALELA en caso contrario.

Si quieres ver otros videos similares echale un vistazo a la sección rectas y planos de la web...

Agregar a mi mochila
0/ 356

* Para utilizar tu mochila o guardar tu progreso y acumular energy points debes ser usuario registrado. Regístrate o inicia sesión

Material adicional

* Los materiales marcados con el símbolo de la estrella () sólo serán accesibles para usuarios PRO. Conviértete en PRO

Foro de preguntas y respuestas

logo beUnicoos
Los foros de unicoos se han unificado en nuestra nueva plataforma beUnicoos. Para dejar nuevas preguntas deberás hacerlo allí, donde además podrás encontrar nuevas asignaturas y herramientas para ayudarte más con tus estudios.
  • Usuario eliminado
    el 10/5/19

    Disculpe profesor me ayudaría con estos ejercicios

    replythumb_up1 voto/sflag
  • Usuario eliminado
    el 11/4/19

    Hola  profesor me podría ayudar con este ejercicio:

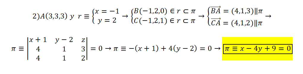
    Dados los puntos A(0,1,2) ; B(3,0,-3) ; C (1,1,1) ; D (5,5,5) hallar: a) Ecuaciones de la recta AB. b) ecuación del paño BCD. c) ángulo de la recta AB con el plano BCD. d) Ángulo del plano ABC con el plano BCD


    replythumb_up0 voto/sflag
    icon

    Antonius Benedictus
    el 11/4/19

    ¿Te importa poner foto del enunciado original en el foro de Matemáticas? Gracias.

    thumb_up1 voto/sflag
  • Usuario eliminado
    el 8/4/19

    Buenas profesor quería saber si me podía ayudar con este ejercicio:

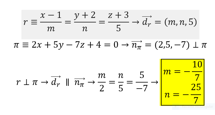
    Calcular m,n con la condición de que la recta x-1/m=y+2/n=z+3/5 sea perpendicular al plano 2x+5y-7z+4=0

    replythumb_up0 voto/sflag
    icon

    Antonius Benedictus
    el 8/4/19


    thumb_up0 voto/sflag
  • Usuario eliminado
    el 31/3/19

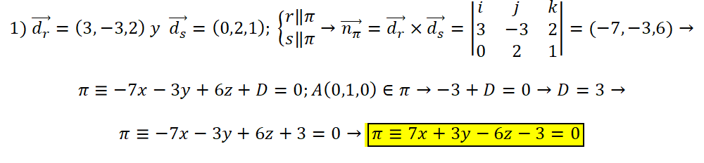
    No entiendo este problema... sabiendo que el plano mx+ny+pz-5=0 pasa por el punto P(4,3,2) y que es paralelo al plano 6x-4y+3z-1=0 calcular m,n,p

    replythumb_up0 voto/sflag
  • icon

    Judit soriano
    el 27/6/18

    No entiendo la diferencia entre vector director y vector normal...?

    Todos los planos y rectas tienen su propio director y vector normal?

    O las rectas solo tienen vector director y los planos vector normal?

    replythumb_up1 voto/sflag
    icon

    Antonius Benedictus
    el 27/6/18

    Las rectas tienen vector director.

    Los planos tienen vector normal.


    thumb_up1 voto/sflag
  • icon

    Toni
    el 1/6/18

    Buenas existe de algún vídeo o podrías hacer alguno sobre como obtener los puntos y vectores de una recta cuando esta está expresada en diferentes ecuaciones? Ya sea paramétrica etc... Gracias.

    replythumb_up0 voto/sflag
  • icon

    JuanquiFC
    el 12/5/18

    Hola, cómo se puede hallar el ángulo que forman dos rectas?

    replythumb_up0 voto/sflag
    icon

    Antonius Benedictus
    el 12/5/18


    thumb_up1 voto/sflag
  • icon

    paula
    el 2/12/17

    Hola,como se harian estos dos ejercicios?

    replythumb_up0 voto/sflag
  • icon

    Iván Puentes
    el 12/5/17

    Que hay David... gracias por el video. Me preguntaba cómo podía calcular el punto de intersección entre cuatro planos teniendo sus cuatro ecuaciones y una incongnita (a) en una de ellas

    replythumb_up0 voto/sflag
    icon

    Antonius Benedictus
    el 12/5/17

    Para que los cuatro planos se intersequen en un punto, el sistema lineal que determinan ha de ser compatible determinado. Por ello, el determinante del matriz de coeficientes ha de ser no nulo. Aplica esa condición y razona cuánto ha de valer el parámetro a para  que esto suceda.

    thumb_up2 voto/sflag
  • icon

    salma
    el 1/3/17

    y si quiero el angulo entre la recta y el plano, ¿como lo puedo hacer?

    replythumb_up0 voto/sflag
    icon

    Antonius Benedictus
    el 1/3/17


    thumb_up4 voto/sflag
  • icon

    Nico
    el 10/7/16

    David, no habria que tomar dos puntos en vez de uno? lo digo por si se da la casualidad de que el punto que elijas sea el de la intersección de la recta con el plano , o me equivoco? me estoy refiriendo al minuto 3:27 para ser mas preciso..

    replythumb_up2 voto/sflag
  • icon

    agustin
    el 21/12/15

    Me podrias poner el link del video donde explicas como obtener el vector director? Gracias!

    replythumb_up0 voto/sflag
    icon

    David
    el 23/12/15

    ¿el de una recta?... En R² Ecuacion de la recta en R²
    En R³... Rectas Si sigues con dudas, puedes dejarnos un ejemplo en el foro general de matematicas...

    thumb_up10 voto/sflag