Tengo una duda alguien me podria echar una mano en este problema? Se que hay que usar integrales para buscar el area entre las funciones pero me acaba saliendo una igualdad con una solucion que no es posible, en fin os dejo el problema y ya me decís vosotros, gracias!!
El problema dice asi:
Busca el area del recinto cerrado limitado por las curvas f(x)= x^2 + 1 y g(x)= 1+ x^1/2
no puedo con la siguiente integral por sustitución trigonométrica, logre obtener coseno^2 pero ya no se que mas hacer😭.
¡Hola! ¡Buenas noches! ¿"-5²" es lo mismo o da el mismo resultado que "(-5)²"? Lo pregunto por otra persona. Yo creo que "(-5)²" da 25: "(-5)² = (-5) • (-5) = 25". Mientras que "-5²" da -25, ya que se trata del opuesto de "5²", por lo tanto: "-5² = (-1) • 5² = (-1) • (5 • 5) = (-1) • 25 = -25" (tal como en "-x", que es "(-1) • x"). Yo también suelo desarrollar "-5²" así: "-5² = -(5)² = -(5²) = -(5 • 5) = -(25) = (-1) • 25 = -25"; sin embargo, no sé si es correcto. Yo confío en las personas que posiblemente me contesten, porque he visto sus respuestas acertadas. El problema es que la persona que tiene la duda quiere la opinión de alguien conocido como David Calle Parrilla. No sé si alguien sabe cómo poder contactarlo para que me responda esta duda aparentemente sencilla. Les agradezco de antemano. Saludos desde Punta Arenas, Chile.
Hola, -5² ≠(-5)² ya que como bien dices, -5² = -1*5²=-25 mientras que (-5)²=-5*-5= 25, y en general para cualquier numero elevado a una potencia par sucederá lo mismo (te quedara negativo si el signo esta sin paréntesis, y positivo si el signo esta dentro -an≠(-a)n⁄∀n par ∧ a ≠ 0
¡Hola, Javier! ¡Gracias por la respuesta! Era algo que me esperaba. Puedes contestarme tú, aunque también puede hacerlo alguien más que sepa la respuesta. La profesora de matemática que tiene esta duda, quiere la opinión o respuesta del profesor David Calle Parrilla (no es personal, ya dije que quienes contestan han dado respuestas correctas). ¿Alguien sabe alguna forma de contactarlo o de algún medio donde responda dudas? También es válido que me digan que no contesta consultas directamente, porque leí que Unicoos comunicó que solo respondería las dudas en los foros de www.unicoos.com. Esto, para informarle a la profesora. Les agradezco de antemano. Saludos desde Punta Arenas, Chile.
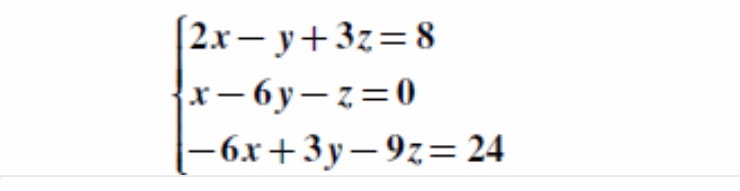
Alguien me podría ayudar con esto?
Dados los puntos P=(-3,5) y Q=(3.2) calcule las coordenadas del punto del segmento PQ cuya distancia a P es el doble de su distancia a Q

Puedes plantear que el punto buscado tiene coordenadas A(a,b).
Luego, plantea los vectores:
u = PA = < a-(-3) , b-5 > = < a+3 , b-5 >,
v = AQ = < 3-a , 2-b >.
Luego, puedes plantear:
|u| = 2*|v|.
y como los vectores son colinales y de igual sentido, puedes plantear:
u = 2*v, sustituyes y queda:
< a+3 , b-5 > = 2*< 3-a , 2-b >, resuelves el segundo miembro y queda:
< a+3 , b-5 > = < 6-2a , 4-2b >, luego tienes por igualdad entre dos vectores:
a + 3 = 6 - 2a, haces pasajes de términos y queda: 3a = 3, haces pasaje de factor como divisor y queda:
a = 1;
b - 5 = 4 - 2b, haces pasajes de términos y queda: 3b = 9, haces pasaje de factor como divisor y queda:
b = 3;
luego, el punto buscado tiene coordenadas: A(1,3).
Espero haberte ayudado.
Como lo podría resolver:
Un tronco de cono de altura 12 m, tiene por base un circulo de radio de 10 m .Si el volumen del tronco es de 700 m³ ,calcula el volumen del cono.