Foro de preguntas y respuestas de Matemáticas

logo beUnicoos
Los foros de unicoos se han unificado en nuestra nueva plataforma beUnicoos. Para dejar nuevas preguntas deberás hacerlo allí, donde además podrás encontrar nuevas asignaturas y herramientas para ayudarte más con tus estudios.

  • icon

    Álvaro
    el 12/6/17

  • icon

    Álvaro
    el 12/6/17

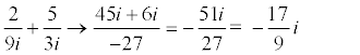
    2/i 9  + 5/3i

    ¿Cómo se resolvería?

    replythumb_up0 voto/sflag
    icon

    César
    el 12/6/17


    thumb_up0 voto/sflag
    icon

    Guillem De La Calle Vicente
    el 12/6/17


    thumb_up0 voto/sflag
  • icon

    Álvaro
    el 12/6/17

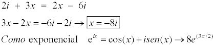
    2i + 3x = 2x - 6i

    ¿como se haría esta ecuación?

    replythumb_up0 voto/sflag
    icon

    César
    el 12/6/17


    thumb_up0 voto/sflag
    icon

    Álvaro
    el 12/6/17

    Sigo sin entenderlo


    thumb_up0 voto/sflag
    icon

    César
    el 12/6/17

    x a un lado   constantes al otro operar y listo

    thumb_up0 voto/sflag
    icon

    Álvaro
    el 12/6/17

    ¿Es obligatorio ponerlo como exponencial?

    thumb_up0 voto/sflag
    icon

    Guillem De La Calle Vicente
    el 12/6/17


    thumb_up0 voto/sflag
  • icon

    jonegrados
    el 12/6/17

    buenas tardes

    hay algún método para factorizar que no sea por rufini

    replythumb_up0 voto/sflag
    icon

    Guillem De La Calle Vicente
    el 12/6/17

    Puedes resolver la ecuación asociada igualando a 0, utilizar igualdades notables,...

    thumb_up0 voto/sflag
  • icon

    Pablo
    el 12/6/17

    Buenas, 

    Mi profesora para saber si la inversa está bien hecha o no nos pide la composición de la función con la función inversa y si nos da x es que está bien hecha.

    Mi duda es que en la función: f(x)= x+5 ÷ 2x.  La comprobación no me sale x y no sé como volver a hacerla, me podríais ayudar?

    replythumb_up0 voto/sflag
    icon

    Antonius Benedictus
    el 12/6/17

    ¿Puedes poner foto original de la función?

    thumb_up0 voto/sflag
    icon

    Pablo
    el 12/6/17


    thumb_up0 voto/sflag
    icon

    Guillem De La Calle Vicente
    el 12/6/17


    thumb_up2 voto/sflag
  • icon

    Carmen
    el 12/6/17

    ¿Cómo hago el estudio con una función así, sin puntos exactos en el plano?

    replythumb_up0 voto/sflag
    icon

    Antonius Benedictus
    el 12/6/17

    Sí que tiene puntos. Por ejemplo, un máximo relativo en (0,4)

    thumb_up0 voto/sflag
    icon

    Carmen
    el 12/6/17

    Entonces, ¿tomo como puntos esas curvas?

    thumb_up0 voto/sflag
    icon

    Guillem De La Calle Vicente
    el 12/6/17


    thumb_up0 voto/sflag
    icon

    Carmen
    el 12/6/17

    Pero hay una discontinuidad en [1,2], ¿por qué es continua en todo su dominio?

    thumb_up0 voto/sflag
    icon

    Guillem De La Calle Vicente
    el 12/6/17

    porque si te fijas el dominio no incluye lo que va del 1 al 2.


    thumb_up0 voto/sflag
    icon

    Carmen
    el 12/6/17

    Al ser la gráfica con unas curvas sin indicadores de los puntos, ¿cómo puedo saber si lo incluye o no? Es una pregunta un poco tonta, lo sé.

    thumb_up0 voto/sflag
    icon

    Guillem De La Calle Vicente
    el 12/6/17

    No se puede saber muy bien si el 1 y el 2 se incluyen. Yo he pensado que sí.


    thumb_up0 voto/sflag
    icon

    Carmen
    el 12/6/17

    Ya veo.Tal vez dependa de la persona, pues no lo pone explícitamente.

    En ese caso, ya tengo mis dudas resueltas.¡Muchas gracias a los dos!

    thumb_up0 voto/sflag
  • icon

    yolanda
    el 12/6/17

    1. Un 40% de los matriculados en un curso de preparación de la prueba de acceso a ciclo superior son hombres. La mitad de los hombres y una de cada tres mujeres tienen algún título de grado medio. Si las mujeres que tienen algún título de grado medio son 12: a) ¿Cuántas personas hay matriculadas en dicho curso? b) ¿Cuántas personas matriculadas no tienen ningún título de grado medio? 

    replythumb_up0 voto/sflag
    icon

    Antonius Benedictus
    el 12/6/17


    thumb_up0 voto/sflag
    icon

    Guillem De La Calle Vicente
    el 12/6/17


    thumb_up0 voto/sflag
  • icon

    Alicia
    el 12/6/17

    Hola buenas. Tengo una duda y no se porque desaparece el 12 y aparece un 2. Los dos últimos pasos no me entero. Muchas gracias 

    replythumb_up0 voto/sflag
    icon

    Daniel González Enríquez
    el 12/6/17

    Ha sacado el 6 de factor común. Ya que forma parte tanto del numero 12 como del propio 6.

    thumb_up1 voto/sflag
    icon

    Daniel González Enríquez
    el 12/6/17


    thumb_up0 voto/sflag
    icon

    Guillem De La Calle Vicente
    el 12/6/17


    thumb_up0 voto/sflag
  • icon

    yolanda
    el 12/6/17

     No me sale el resultado me puedenan ayudar.

    replythumb_up0 voto/sflag
    icon

    Daniel González Enríquez
    el 12/6/17


    thumb_up0 voto/sflag
    icon

    Guillem De La Calle Vicente
    el 12/6/17


    thumb_up0 voto/sflag
  • icon

    fernando
    el 12/6/17

    que ley hay que estudiar para  hacer ese tipo de ejercicios?

    replythumb_up0 voto/sflag
    icon

    Antonius Benedictus
    el 12/6/17


    Probabilidad elemental (regla de Laplace) y probabilidad condicionada y compuesta.

    thumb_up0 voto/sflag
    icon

    fernando
    el 12/6/17

    Merci, es la que tengo en el libro si no me equivoco, gracias crack 

    thumb_up0 voto/sflag
    icon

    Guillem De La Calle Vicente
    el 12/6/17


    thumb_up0 voto/sflag