Foro de preguntas y respuestas de Matemáticas

logo beUnicoos
Los foros de unicoos se han unificado en nuestra nueva plataforma beUnicoos. Para dejar nuevas preguntas deberás hacerlo allí, donde además podrás encontrar nuevas asignaturas y herramientas para ayudarte más con tus estudios.

  • icon

    Ada Aliani
    el 12/6/17

    Holaa! Necesito ayuda para pasar números  con grados minutos y segundos de complejo a incomplejo y viceversa.

    Muchas graciaas


    replythumb_up0 voto/sflag
  • icon

    Maria
    el 12/6/17

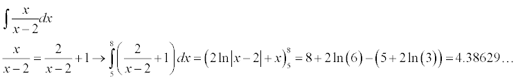
    Hola! ¿Me pueden ayudar con este límite?


    replythumb_up0 voto/sflag
    icon

    César
    el 12/6/17

    sustituye el valor x=2      (3-3)/(2-3)=0


    thumb_up0 voto/sflag
  • icon

    Sebastián Larrosa
    el 12/6/17

    1. hola unicoos me ayudan con estas integrales ? hoy arrancamos el tema y nos dieron estas para hacer y no me da el resultado:(

    replythumb_up0 voto/sflag
    icon

    César
    el 12/6/17

    la primera hecha

    para la segunda divide  y la tendrás casi inmediata

    thumb_up0 voto/sflag
  • icon

    Elena Olivares de Paz
    el 12/6/17

    Una de cada doce revisiones tecnicas de vehiculos es evaluada como "no apta". si a lo largo de un dia se revisan 35 vehiculos , calcula la probabilidad de que a)exactamente 3 hayan sido evaluadas como "no apta"

    b) ninguna haya sido evaluada como "no apta"

    c) al menos 5 hayan sido evaluadas como "apta"

    replythumb_up0 voto/sflag
    icon

    Antonius Benedictus
    el 12/6/17

    Binomial (35, 1/12)


    Distribucion Binomial

    thumb_up0 voto/sflag
  • icon

    Álvaro
    el 12/6/17

    Explicación

    Los vectores directores de los lados 

    A partir de estos calculamos los ángulos utilizando la expresión del ángulo entre dos vectores:

    Que alguien explique esto mejor

    replythumb_up0 voto/sflag
    icon

    Antonius Benedictus
    el 12/6/17

    Si no pones el enunciado original, lo tenemos crudo.

    thumb_up0 voto/sflag
  • icon

    Manuel Amaru
    el 12/6/17

    Mañana tengo el examen de selectividad de mates para ciencias sociales alguien puede decirme como hace para ver la recta tangente de este ejercicio?

    Sea f x( ) una función cuya función derivada, f x '( ) , tiene por gráfica una parábola que corta al eje OX en los puntos ( 1,0)  y (5,0) y con vértice (2, 4)  . a) Estudie razonadamente la monotonía de f x( ). b) Determine las abscisas de los extremos relativos de la función f x( ). c) Halla la ecuación de la recta tangente a la grafica de f x( ) en el punto de abscisa x  2 , sabiendo que f (2) 5  . SOCIALES II. 2013. JUNIO. EJERCICIO 2. OPCIÓN B


    replythumb_up0 voto/sflag
    icon

    Antonius Benedictus
    el 12/6/17

    Pon foto del enunciado original, Manuel.

    thumb_up0 voto/sflag
  • icon

    Elena Olivares de Paz
    el 12/6/17

    En el experimento que consiste en lanzar dos dados , uno azul y otro rojo, calcula la probabilidad de que :

    a) Una de las puntuaciones sea impar , sabiendo que la suma de las dos puntuaciones es 9

    b)La suma de las puntuaciones sea 7 , sabiendo que su diferencia es 3 .

    no se hacerlo , agradeceria mucho si me pudieseis ayudar.

    replythumb_up0 voto/sflag
    icon

    Ángel
    el 12/6/17

    a)

    Si la suma da 9, sólo se dan 4 estas posibilidades:

    (3,6)

    (4,5)

    (5,4)

    (6,3)

    En todos los casos hay una puntuación impar.

    Luego, sabemos que si las dos puntuaciones suman 9 alguna SEGURO que es impar (P= 1 = suceso seguro)



    b) Intentalo utilizando la ley de Laplace de probabilidad
    Si no das con la solución nos cuentas y te ayudamos

    thumb_up0 voto/sflag
  • icon

    Alberto Llobregat
    el 12/6/17

    No se hacer esto , necesitó ayuda

    replythumb_up0 voto/sflag
    icon

    Ángel
    el 12/6/17

    ¿Problema 3? ¿Problema 4? 

    ¿Qué propones como solución?

    thumb_up0 voto/sflag
  • icon

    María
    el 12/6/17

    ¿Cual es la diferencia clara (con ejemplos, a poder ser) entre la estadística descriptiva y la estadística inferencial?


    replythumb_up0 voto/sflag
  • icon

    Marta
    el 12/6/17

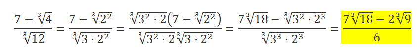
    ¿Alguien me podría decir si está bien está racionalización de denominadores? Gracias


    replythumb_up0 voto/sflag
    icon

    Antonius Benedictus
    el 12/6/17

    Casi.


    thumb_up0 voto/sflag