Foro de preguntas y respuestas de Matemáticas

logo beUnicoos
Los foros de unicoos se han unificado en nuestra nueva plataforma beUnicoos. Para dejar nuevas preguntas deberás hacerlo allí, donde además podrás encontrar nuevas asignaturas y herramientas para ayudarte más con tus estudios.

  • Usuario eliminado
    el 12/6/17

    como lo podría hacer:

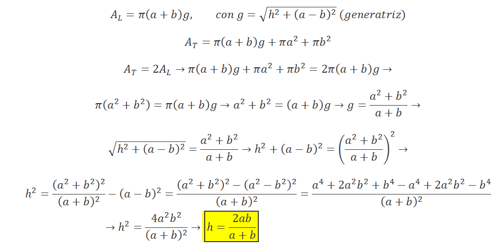
    En un tronco de cono de revolución los radios de las bases miden a y b (a>b) .Si el área de la superficie lateral es la mitad del área total ,¿Cuan es la distancia de dichas bases ? El área de la superficie lateral  es la mitad del área del área total.                                                                                                                         

    replythumb_up0 voto/sflag
    icon

    Antonius Benedictus
    el 13/6/17


    thumb_up0 voto/sflag
  • icon

    Francisco Bk Gtz
    el 12/6/17

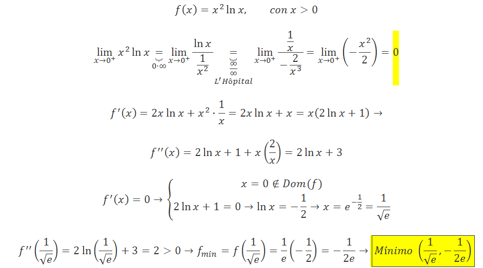
    es correcto el siguiente resultado?


    replythumb_up0 voto/sflag
    icon

    Antonius Benedictus
    el 12/6/17


    thumb_up0 voto/sflag
  • icon

    Francisco Bk Gtz
    el 12/6/17

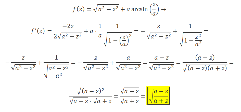
    es correcto el siguiente resultado ?


    replythumb_up0 voto/sflag
    icon

    Antonius Benedictus
    el 12/6/17

    ¿Cuál es el enunciado original, Francisco?


    thumb_up0 voto/sflag
    icon

    Francisco Bk Gtz
    el 12/6/17


    thumb_up0 voto/sflag
    icon

    Antonius Benedictus
    el 12/6/17


    thumb_up0 voto/sflag
    icon

    Francisco Bk Gtz
    el 12/6/17

    Disculpe pero no se usa la formula (log e/v)(v´)?

    thumb_up0 voto/sflag
    icon

    Antonius Benedictus
    el 13/6/17

    log e =1/ln10

    (cambio de base logarítmico)

    thumb_up0 voto/sflag
  • icon

    nohelia catalina fuentes cruz
    el 12/6/17

    Hola una función lineal es decir de la forma y=MX+ b cuántos máximos y mínimos posee? 


    replythumb_up0 voto/sflag
    icon

    Daniel González Enríquez
    el 12/6/17

    Si está acotada entre dos valores tendrás que evaluarla entre esos valores. Y el mayor valor de los dos será el máximo y el otro el mínimo. 

    Si no está acotada no tendrá ni máximos ni mínimos. Ya que es una recta que se extiende al infinito

    thumb_up1 voto/sflag
  • icon

    Alex Domínguez
    el 12/6/17

    Buenas noches, pongo la duda aquí porque aunque la ecuación es química la duda es matemática, como podría despejar de dicha ecuación el térmno [Ag+]2 ? no se quitarlo del logaritmo, gracias ( la V es la unidad voltios, no significa nada matemáticamente y el logaritmo es en base 10 )

    replythumb_up0 voto/sflag
    icon

    Antonius Benedictus
    el 12/6/17


    thumb_up0 voto/sflag
  • icon

    Andrés Moreno
    el 12/6/17

    Mis dudas son con los apartados b) g) y f) del ejercicio 10. Muchas gracias!

    replythumb_up0 voto/sflag
    icon

    Antonius Benedictus
    el 12/6/17


    thumb_up0 voto/sflag
    icon

    Ángel
    el 12/6/17


    thumb_up1 voto/sflag
  • icon

    Miriam
    el 12/6/17

    holaa!! alguien podría explicarme como se haría el diagrama de árbol de el siguiente problema??

    Una pareja quiere tener tres hijos: que probabilidad hay de que a) sean las tres niñas b) los tres sean niños y c) haya dos niñas y un niño

    replythumb_up0 voto/sflag
    icon

    Antonius Benedictus
    el 12/6/17


    thumb_up1 voto/sflag
    icon

    Ángel
    el 12/6/17

    P(3 niñas) = 1/8 -------> Señalado en rojo

    P(3 niños) = 1/8 --------> En azul

    P(2 niñas y 1 niño) = 3/8 ---------> En naranja


    thumb_up2 voto/sflag
  • icon

    Fran
    el 12/6/17

    Como saco el vector director sabiendo los puntos A(1,2) y B(2,4). Gracias

    replythumb_up0 voto/sflag
    icon

    Sarqui
    el 12/6/17

    Vector AB= B-A

    AB=(2,4)-(1,2)= (1,2)


    thumb_up0 voto/sflag
    icon

    Fran
    el 12/6/17

    Me acabo de acordar ahora pero como tengo el examen mañana estaba nervioso, gracias igualmente.

    thumb_up0 voto/sflag
  • icon

    Sarqui
    el 12/6/17

    ¿Como se resuelve eso?

    replythumb_up0 voto/sflag
    icon

    Antonius Benedictus
    el 12/6/17


    thumb_up0 voto/sflag