buenass!! alguien me puede ayudar con este ejercicio: Se extraen 3 cartas con remplazamiento: a) P(As en 1ª y figura en 2ª y 3ª) b) P(3 ases) c) P(un as y dos figuras) d) P(ningún As)
POR FAVOR, TENGO MAÑANA UN EXAMEN MUY IMPORTANTE Y NECESITO SABERLO

Supondremos que la baraja es francesa: (52 cartas)
Como ya sabes, la probabilidad de que un suceso ocurra se basa en la relación de casos favorables entre casos posibles, en problemas como estos, para calcular la probabilidad de que varios sucesos ocurran de forma seguida, se calcula mediante el producto de la probabilidad de cada suceso, siguiendo el orden. La única diferencia a la hora de producirse reemplazamiento es que siempre existe el mismo número de casos posibles todo el rato.
a) P(As en 1ª y figura en 2ª y 3ª) : P(As)*P(figura)*P(figura)=4/52*12/52*12/52
b)P(3ases): P(as)*P(as)*P(as)= 4/52*4/52*4/52
c)P(un as y dos figuras):P(as)*P(figura)*P(figura)= en este caso no importa el orden que siga, por lo que el as puede salir en 1ª,2ª o 3ª posición por lo que será esta probabilidad por 3:
4/52*12/52*12/52*3
d)P(no ases): P(no as)*P(no as)*P(no as)=48/52*48/52*48/52
Las respuestas obtenidas son sobre 1, si multiplicásemos por 100 obtendríamos el porcentaje. En el caso de que nos planteen un ejercicio sin reemplazamiento, quiere decir que la carta que retiramos,no estará la próxima vez que saquemos, teniendo esto en cuenta sabremos que si hemos sacado un as, los casos favorables serán 3, pues solo quedan 3 ases, y los casos posibles serán 51, pues hemos quitado una carta del total.
Si la siguiente no es un as, restaremos una del total y de aquellas que no son ases.
Hola! No se hacer de este ejercicio el apartado c, d, e y f (Calcula los siguientes límites laterales)

Vamos con orientaciones.
En los ejercicios e y f, observa que tienes lìmites directos, porque evalùas en numerador (N) y el denominador (D) y quedan:
N = 1 + 1 - 2 = 0,
D = 1 + 5 + 6 = 12,
por lo que ambos lìmites laterales para x tendiendo a 1 quedan: L = 0/12 = 0.
En cambio, en los ejercicios c y d tienes indeterminaciones, por evalùas y tienes que N tiende a cero y D tiende a cero.
Luego, factorizas las expresiones por medio de la fórmula de las raíces de un polinomio cuadrático, o por medio de la Regla de Ruffini, y el argumento de los lìmites queda:
N/D ) (x + 2)(x - 1) / (x + 2)(x + 3) = simplificas = (x - 1) / (x + 3),
luego, observa que N tiende a - 3, y observa que D tiende a 1 cuando x tiende a - 2,
por lo que tienes que ambos lìmtes laterales quedam: L = - 3/1 = - 3.
Espero haberte ayudado.
¿Es correcta esta integral? Se pide calcular la integral en V de la función f(x, y, z)=y[x] siendo [x] la parte entera de x.
Lo que he hecho ha sido representar el dominio y dividirle en 2 dependiendo del valor que toma x, porque
si x∈[0,1) → f (x, y)=0
si x∈[1,2) → f (x, y)=y
Lo que no se es si el paso a la integral es correcto.
Un saludo unicoos.

Vamos con una orientación.
Observa que debes corregir el lìmite de integraciòn inferior para z: es z = 0 (observa que has consignado z = 4), y debes corregir el gráfico, en el que has consignado correctamente la base del sòlido en el plano OXY, pero observa que sus puntos están comprendidos entre dicho plano y el cilindro parabólico cuya ecuación es z = y2.
Espero haberte ayudado.

Probabilidad copas: 10/40 =1/4, la segunda, puesto que no hay reemplazamiento es 9/39, ya que falta la anterior que sacaste de copas y por tanto una del dotal. La probabilidad de que ambas sean de copas es 1/4*9/39. (*100 para el porcentaje)
Para que una de ellas sea de copas, teniendo en cuenta que P(copas)=1/4 como ya hemos dicho, la otra carta será cualqueir otra que no sea copas 30/39, ya que habriamos sacado la copa. En el caso de que la saquemos la 2ª, únicamente cambiamos los numeradores y la probabilidad es la misma 30/40*10/39=10/40*30/39
Al tener el -3 y -x no puedo conseguir poner ninguno de los 2 3 en negativo, que fallo hay? Hice diferentes y no tenia ese problema de los signos, pero con este si
(Suponiendo que lo este haciendo bien)

Llevas razón es que escribiste dos menos en la primera ecuacion, pero pusiste -5f1+f2 y lo que hiciste fue -5f1-f2, de hecho lo haces en la siguiente tb, al intentar multiplicar por -1 para hacer operaciones entre las ecuaciones te lias, ten en cuenta que lo más facil es sumar, siempre que puedas suma, y en caso de que ambos sean del mismo signo multiplica siempre el primero por-1 o el segundo y suma, así te evitarás lios y errores
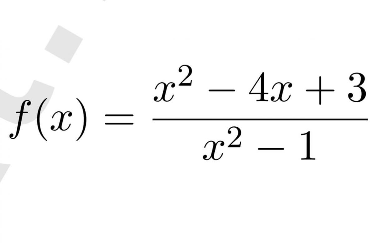
Holaaaaap!!! Una dudilla un poco sipmple 😅... el dominio de esta función es todo los reales menos el 1, no??? Es que si simplifico, lo de abajo se anula solo con uno.... pero si no lo simplifico pues sería +-1... GRACIAS!!!
El dominio es todo R menos los valores de x que hagan cero el denominador, así que tenemos que resolver:
x2-1=0 ----------> x2=1 ------> x=√1 -----> x=1, x= -1
Dominio= (-inf,-1) U (-1,1) U (1,inf) = todos los reales menos el -1 y el 1
Si no lo ves de la forma anterior:
(x2-1)=0 ------------> (x-1)*(x+1)=0 --------> x=1, x= -1