hola me pueden ayudar a derivar esto
1/X2-8x+7
Gracias
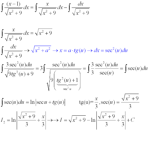
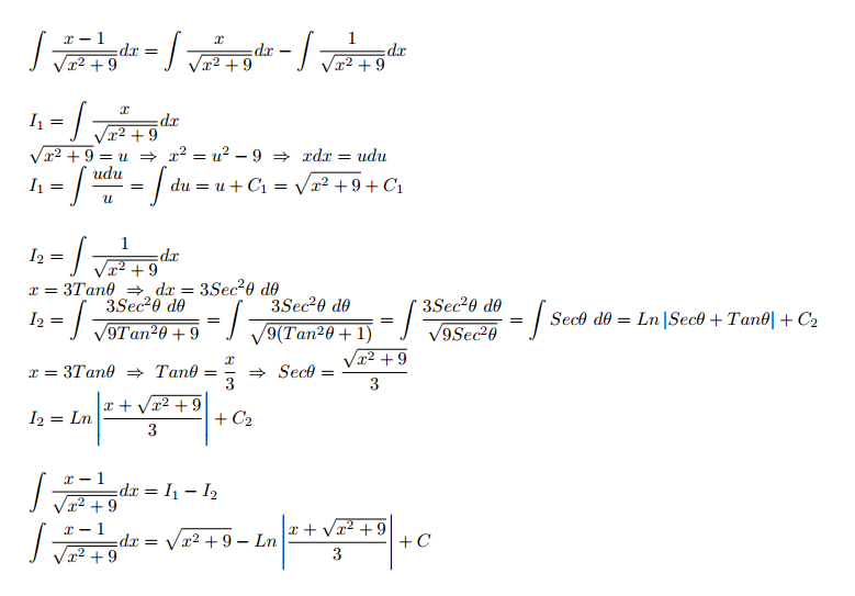
Hola, alguien me puede echar una mano con esta integral inmediata? {Para mi no es que sea muy inmediata pero bueno, eso no tiene nada que ver :) }
∫(x-1)dx/√(x^2 +9)
Creo que lo primero es separa el numerador pero me quedo atascado ahí.

Eso de " directo" depende del nivel en el que estás , si ya pasaste por los diversos métodos de integración conoces varias de ellos entonces por tabla ya lo consideras " directo"
De lo contrario no creo que sea tan directo , aunque quizá te dieron una tabla y que de allí identifiques . Por tabla me refiero a una lista de fórmulas de diversas integrales mas usadas.
He resuelto desdoblando y usando trigonométricas.
Fíjate que ∫ dx/sqrt(x^2+9) = ArgSinh (x/3) + C entonces puede ser directo si ya conoces esa fórmula![]()

Mas bien esa es la más sencilla , eso es un sustitución simple , el estudio de las antiderivadas se empiezan justamente por ese método.
A menos que también tengas la fórmula de la integral del tipo ∫ udu/sqrt(u^2 + a^2) = sqrt(u^2+ a^2) +C
Pero es bueno conocer el procedimiento porque esas fórmulas se han obtenido justamente por sustitución simple , trigonométrica , fracciones parciales , etc etc
Hola! Alguien me puede ayudar con una demostración por el método de reducción al absurdo:
Si x es racional y x² es entero, entonces x es entero.
Si la x no "proviene" de un entero (al dividir numerador y denominador no da cero, Si n/m≠0), x no podrá ser entero, así que no podremos llegar a la conclusión buscada (absurdo)
Para cumplirse que x2 sea entero y consecuentemente resulte un entero, la x tiene que ser entera (pero podemos ponerla en forma racional). Ej: 2=8/4
8/2 y 16 (82/22) entonces 4 (8/2)
Por lo tanto, siempre que x es racional y x² es entero, entonces seguro que x es entero. (y al dividir el numerador y denominador de la hipotesis x, obtendremos cero de resto)

Se realizan mediante deducción, los ángulos rectos tienen 90 grados, basta con saber que por ejemplo en un cuadrilátero,el valor de la suma de los ángulos interiores es 360; en el caso de los triángulos los tres interiores suman 180. Para figuras regulares como el pentágono, sabemos que sepuede dividir en 5 triángulos isósceles, y que el centro son 360 grados, como se puede dividir en 5, cada ángulo superior de los triángulos tiene 360/5.
Por otra parte los ángulos suplementarios, suman 180,mientras que los complementarios suman 90 ![]()
Alguien me puede resolver este problema por favor: Calcula el área de la región acotada por las gráficas de las parábolas f(x) = x2 - 4x + 3 y g(x) = x2 + 2x + 11.

Dibujas ambas gráficas, una quedará por encima de otra, para calcular el area entre ambas, calculas los puntos de corte igualandolas. Una vez tieens los puntos de corte, puedes calcular el área, pues el valor de x en los puntos de corte es el valor de los límites de integración a emplear. Restamos a la que esta por encima la de debajo y hacemos la integral entre ambos puntos de corte.
Hola,me quedo una duda
(-inf ; -4) u (0 ; 2) decrece?
(-4 ;0) u (2; + inf) crece?
O los intervalos de crecimiento no son esos?
Por favor necesito la respuesta.Desde ya muchas gracias!

En la gráfica esta representada la derivada de f(x), el valor de la derivada en un punto nos proporciona el valor de la pendiente de la recta tangente a ese punto, por tanto, cuando la pendiente es negativa, decrece, mientras que cuando es positiva crece. En conclusión es correcto

a) DIRECTO: ±∞ dependiendo de si le damos valor positivo o negativo: +→∞ es +∞, para x→-∞ es -∞
b) DIRECTO: x→∞ es -∞ por el signo - del coeficiente cuya x tiene mayor grado, x→-∞ es ∞
c)COMPARACIÓN: Comparamos numerador y denominador, como tienen igual grado, lim=12/6=2. En este caso como es x^2, cualqueir cosa elevada a 2 es positiva, por tanto es igual para + o - ∞
h)Basta con operar con común denominador y sustituir el -2 para quitar la indeterminación (∞-∞)