Foro de preguntas y respuestas de Matemáticas

logo beUnicoos
Los foros de unicoos se han unificado en nuestra nueva plataforma beUnicoos. Para dejar nuevas preguntas deberás hacerlo allí, donde además podrás encontrar nuevas asignaturas y herramientas para ayudarte más con tus estudios.

  • icon

    Francisco Bk Gtz
    el 5/6/17

    ¿como resuelvo la sig. derivada?


    replythumb_up0 voto/sflag
    icon

    Antonius Benedictus
    el 5/6/17


    thumb_up0 voto/sflag
  • icon

    Guillem De La Calle Vicente
    el 4/6/17

    (Demostración) Aplica el método de contraposición al ejemplo siguiente:

    Si m y b son números reales con m≠0, entonces la función f(x)=mx+b es inyectiva. [Indicación. Recuerda que una función f(x) es inyectiva si, y sólo si, para toda pareja de objetos x, y de su dominio que x≠y, se tiene que f(x)≠f(y).]

    replythumb_up0 voto/sflag
    icon

    Ángel
    el 4/6/17

    Por la contraposición de "Si m y b son números reales con m≠0, entonces la función f(x)=mx+b es inyectiva" entiendo que hay que demostrar:

    Si f(x)=mx+b no es inyectiva, entonces "m" y/o "b" no son números reales con m≠0 ó m=0

    Si f(x)=mx+b  y f(a)=f(c)   m y/o b 


    Si te parece correcto lo que está en negrita intenta demostrarlo y envía tu intento de demostración.


    thumb_up0 voto/sflag
  • icon

    Lucía
    el 4/6/17

    Hola unicoos:

    Alguien sabe si este ejercicio (EL APARTADO C ) entra en la selectividad de Madrid de este año? Y si es así, como se hace?

    Gracias y saludos

    Se consideran los puntos A(0, 5, 3), B(0, 6, 4), C(2, 4, 2) y D(2, 3, 1) y se pide:

    a) (1 punto) Comprobar que los cuatro puntos son coplanarios y que el polígono ABCD es un paralelogramo.

    b) (1 punto) Calcular el área de dicho paralelogramo.

    c) (1 punto) Determinar el lugar geométrico de los puntos P cuya proyección sobre el plano ABCD es el punto medio del paralelogramo. 

    replythumb_up0 voto/sflag
    icon

    Antonio
    el 4/6/17

    No se si entra o no, pero lo que se pide en el 'c' es la recta perpendicular al plano que pasa por el punto medio del paralelogramo.

    Suerte en la EBAU!!!

    thumb_up0 voto/sflag
  • icon

    Coke Verdejo
    el 4/6/17

    http://www.subirimagenes.com/otros-img0096-9747486.html  

    Ayuda con éste ejercicio de vectores, cualquier avance es bien agradecido

    replythumb_up0 voto/sflag
    icon

    Ángel
    el 4/6/17

    a)


    b) Sube lo que tengas hecho y te intentamos ayudar

    http://www.universoformulas.com/matematicas/geometria/area-pentagono/


    c) Fórmula para aproximar el área de un pentágono:  1.72*L2

    Área pentágono=1.72*(42)27.5cm2

    thumb_up0 voto/sflag
    icon

    Coke Verdejo
    el 5/6/17

    Eso llevo! Considere el punto O(0,0) para trazar los vectores, pero no sé si está bien llevo sólo una semana en el tema...











    thumb_up0 voto/sflag
  • icon

    Nando Hull
    el 4/6/17

    Hola unicoos ? Quisiera saber si hay video sobre como sacr dominio de una composicion de funciones  gracias

    replythumb_up0 voto/sflag
    icon

    César
    el 4/6/17

    no hay videos, pero este se ayudará

    https://www.youtube.com/watch?v=fLiwtU-8KN4

    thumb_up0 voto/sflag
  • icon

    Guillem De La Calle Vicente
    el 4/6/17

    (Demostración) Aplica el método de contraposición al ejemplo siguiente:

    Si el número natural n es múltiplo de 4, es múltiplo de 2.

    replythumb_up0 voto/sflag
    icon

    Ángel
    el 4/6/17

    Contraposición: Si el número natural n NO es múltiplo de 2, entonces NO es múltiplo de 4

    multiplos de 2: 0,2,4,6,8,10,12-------->      NO es múltiplo de 2: 1,3,5,7,9,11

    multiplos de 4: 0,4,8,12,16,20---------->     NO es múltiplo de 4: 1,2,3,5,6,7,9,10,11


    Vemos que si tenemos un n que NO es múltiplo de 2, también tenemos que NO es múltiplo de 4 (ya que el conjunto del complementario de "ser múltiplo de 2" es un subconjunto del complementario de "ser múltiplo de 4" : se cumple la contraposición, recuerda que ¬q->¬p  ⇔ p->q)


    thumb_up0 voto/sflag
    icon

    Guillem De La Calle Vicente
    el 4/6/17

    Maths, no puedes demostrar nada con unos cuantos ejemplos, debes hacerlo en general. Podría ser:

    Saludos

    thumb_up0 voto/sflag
    icon

    Ángel
    el 5/6/17

    De esos cuantos ejemplos puedo deducir que:

    Todos los números del subconjunto de {2n+1} ={NO ser múltiplo de 2}= {ser impar}

    están dentro del conjunto formado por la unión {(2n+1)  (2+4n)} = {NO ser múltiplo de 4} 


    "Si p es un subconjunto de q, entonces    pq"

    por extensión:

    Si {2n+1} es un subconjunto de {(2n+1)  (2+4n)}, entonces  {NO ser múltiplo de 2} → {NO ser múltiplo de 4}

    QUEDA DEMOSTRADA LA CONTRAPOSICIÓN (Y CON ELLO LA PROPOSICIÓN DEL ENUNCIADO)


    thumb_up0 voto/sflag
  • icon

    Ne Nailart
    el 4/6/17

    Hola, no se como continuar. Debe de dar √3

    Y el ejercicio es calcular los limites


    replythumb_up0 voto/sflag
    icon

    Ángel
    el 4/6/17

    Se hace igualito que este:


    Has hecho el conjugado dos veces,

    lo correcto en este ejercicio (y en el tuyo) es hacer el conjugado una vez y simplificar

    después te queda una indeterminación inf/inf y divides por x el numerador y por x2 los términos de dentro de la raíz y obtendrás el valor del límite


    ((supongo que habrá que calcular el límite cuando x tiende a infinito))

    thumb_up0 voto/sflag
    icon

    Renzo Riguetti
    el 4/6/17

    Al eliminar las raices del numerador fijate bien que hay un signo (-) entre los dos, cada termino de la segunda raiz se multiplica por menos, ese fue tu primer error

    thumb_up0 voto/sflag
  • icon

    Renzo Riguetti
    el 4/6/17

    Buenas, alguien me puede ayudar con este ejercicio por fa? :c 

    replythumb_up0 voto/sflag
    icon

    Neofito 007
    el 4/6/17

    Puedes usar L Hopital ?? osea derivando , especifica al respecto

    thumb_up0 voto/sflag
    icon

    Renzo Riguetti
    el 4/6/17

    No, sin derivar es bro uu

    thumb_up0 voto/sflag
    icon

    Neofito 007
    el 4/6/17


    thumb_up0 voto/sflag
  • icon

    Agnes Male
    el 4/6/17

    Hola, como puedo hacer este ejercicio de calcular el límite? Debería de dar 5/8 pero no se llegar al resultado


    replythumb_up0 voto/sflag
    icon

    Antonio
    el 4/6/17

    antes de calcular el límite (sustituir la x por 1) realiza la división, luego factoriza el polinomio (x2-1), los demás no hacen falta, simplifica la expresión (tachando (x-1)) y por último calculas el límite (sustituyes por uno)

    thumb_up0 voto/sflag
    icon

    Frank Rios
    el 4/6/17

    Hola la expresión x^2 -1 es una diferencia de cuadrados lo puedes escribir como (x-1)*(x+1). Luego puedes simplificar x-1 y el limite va da 5/8  

    thumb_up0 voto/sflag
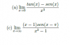
  • icon

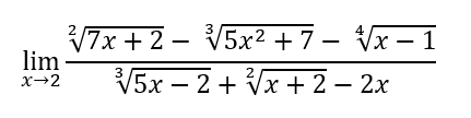
    Carlos José Guillén Colón
    el 4/6/17

    Buenos Tardes, me gustaría que me pudieran ayudar con estos limites, sin derivar, por favor, y disculpen las molestias

    replythumb_up0 voto/sflag
    icon

    Jorge Verdejo
    el 4/6/17

    La primera te puedo guiar diciendo que cambies tan(x) por sen(x)/cos(x) ... luego el x^3 que está dividiendo lo pases hacia el numerador de la expresión y órdenes de modo tal que te quede sen(x)/x que como deberías saber es 1 luego resuelves el límite.

    thumb_up1 voto/sflag
    icon

    César
    el 4/6/17


    thumb_up1 voto/sflag
    icon

    Rocío
    el 4/6/17

    Creo que también podrías hacerlo aplicando la Regla de L'Hôpital, ya que tienes una indeterminación del tipo 0/0


    thumb_up1 voto/sflag
    icon

    Neofito 007
    el 4/6/17


    thumb_up1 voto/sflag
    icon

    Carlos José Guillén Colón
    el 4/6/17

    Muchas Gracias a Todos :)

    thumb_up0 voto/sflag
    icon

    Carlos José Guillén Colón
    el 4/6/17

    Oye tengo una duda Profesor César, como hizo para cambiar, el [1-cos(x)], por (x^2)/2

    thumb_up0 voto/sflag