ALGUIEN ME PODRÍA DAR REFERENCIA DONDE ENCUENTRO ESTOS TIPOS DE EJERCICIOS COMO LA "a" seria de ayuda

Me encantaría ayudarte, pero no respondo dudas universitarias que no tengan que ver específicamente con los videos que ya he grabado como excepcion. O de otras asignaturas que no sean matemáticas, física y química. Lo siento de corazón… Espero lo entiendas
Ojalá algun unicoo universitario se anime a ayudarte (de hecho lo ideal es que todos los universitarios intentarais ayudaros los unos a los otros)

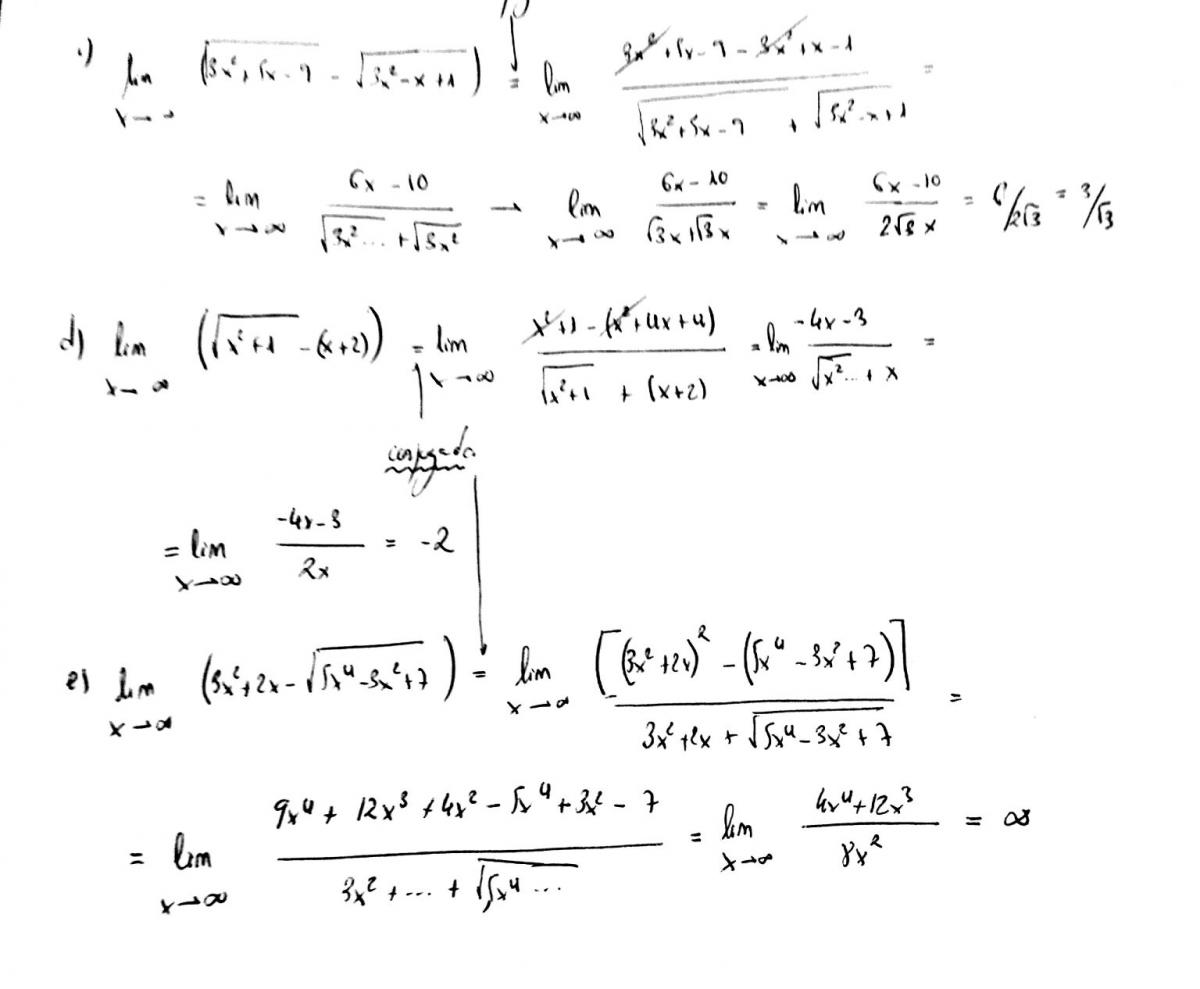
A la hora de calcular los límites por comparación de numerador y denominador he eliminado llegado a determinados pasos aquella parte cuyo grado es menor que el mayor de ambos, de este modo puedes hallar el límite sin problemas. A la hora de cacular el grado del denominador cuando hay raíces, se toma el grado mayor de las raices si ambas tienen una x con el mismo grado,y se deducen los coeficientes mediante la raiz de lo que acompaña a la x: (En el último caso no seria entre 8x2

me podrias explicar paso a paso que en el ejercicio anterior no le entendi muy bien o brindar un video seria de ayuda porfavor

¡Hola! Nos encantaría ayudarte, pero no solemos responder dudas universitarias que no tengan que ver específicamente con los vídeos que David ha grabado como excepción. O de otras asignaturas que no sean Matemáticas, Física y Química. Lo sentimos de corazón… Esperamos que lo entiendas.
Ojalá algún unicoo universitario se anime a ayudarte (de hecho, lo ideal es que todos los universitarios intentarais ayudaros los unos a los otros).
hola, podrian resolver la matriz del ejercicio 3 apartado b del examen de selectividad 2016 OPCION B, de Septiembre.Andalucia. y Explicarme como se hace esto : CX-X= 2I (me piden calcular la matriz X y no se despejar esto). GRACIAS

Al operar ecuaciones matriciales, puedes sacar en este caso factor común X, pero a la derecha, ya que no es lo mismo XC que CX y multiplicar por la inversa de C-I, es decir: (Alsacar factor común X/X es la matriz identidad)
CX-X= 2I
(C-I)X=2I
(C-I)-1(C-I)X=(C-I)-1*2I
I*X=(C-I)-1*2I
X=(C-I)-1*2I