Estoy mirando en un solucionario y en cuanto a la resolución de la derivabilidad lo suelen hacer por definición:
Más fácil y corto:
f´(x)= x3-4x para x∈(-inf,0), 1-2x para x∈(0,inf)
Derivabilidad en x=0
f´(0)= 0 para x∈(-inf,0), 1 para x∈(0,inf)
Como 0≠1 (no coinciden los límites laterales f´-(0)≠ f´+(0), entonces f(x) no es derivable en x=0
----------------------------
Cuestiones:
*Porqué calcular en este ejercicio con la definición: ¿Hay algo que se esté justificando de esta manera y como lo hice yo no se justifique?
Yo lo que supongo que en las ocasiones en que será obligatorio calcular la derivabilidad utilizando la definición será cuando se dé una indeterminación al calcular el límite en las derivadas...¿estoy equivocado?

La diferenciabilidad en funciones de una variable coincide con la derivabilidad, cosa que no sucede para varias variables.
Lo estrictamente legal es hacerlo con la definición. Ahora bien, si las derivadas laterales son continuas , se puede hacer perfectamente como tú haces. Y,si coinciden en el punto en cuestión, podemos asegurar que la función es diferenciable en dicho punto.
Hola unicoos, por favor ¿me pueden explicar lo que hace en el apartado b) de este ejercicio dónde te piden si la gráfica de f es simétrica respecto del origen?
PD: he visto el video que hay en el canal de unicoos en youtube de simetrías y este lo entendí perfectamente, sin embargo no entiendo lo que tengo escrito. Por favor ayudadme.
http://www.vitutor.com/fun/2/a_10.html
--------------
f(x)=x3
f(-x)= -x3 = - f(x) --------------> IMPAR: simétrica respecto al origen.
f(x)=x2+1
f(-x)= x2+1 = f(x) --------------> PAR: simétrica respecto al eje de ordenadas.
Sigo sin entender 1° por qué hace el numerador y el denominador por separado, 2° por qué pone x al cuadrado +1 (denominador) cuando sería (x+1) al cuadrado= x al cuadrado+2x+1, y ahí se sustituye f(-x), 3° en la foto no hace -f(x) para comprobar si la función es simetrica respecto al origen, hace f(-x), donde solo se demostraría si f(x) es simétrica respecto al eje de ordenadas, 4° según tengo puesto no hay simetrías, pero no se ha calculado como anteriormente he dicho -f(x)
Hola Unicoos,
Yo lo he hecho como en la forma de arriba, es incorrecto?
Y en la forma de abajo es como lo hace mi libro y no lo comprendo.
Me podrían ayudar. Muchísimas gracias.
Hola unicoos,
no se ni como empezar este ejercicio de integrales.
consideramos la figura plana limitada por la parabola y=2x^2 y por la recta y=2.
1. Me pide calcular el perímetro de la figura.
2. Después me pide calcular la massa de un cuerpo con esa forma si la densidad en un punto del objeto es proporcional a la distancia del eje vertical.
3. y me pide el centro de masas de este cuerpo.
Agradecería cualquier ayuda. Un saludo!

¡Hola! Nos encantaría ayudarte, pero no solemos responder dudas universitarias que no tengan que ver específicamente con los vídeos que David ha grabado como excepción. O de otras asignaturas que no sean Matemáticas, Física y Química. Lo sentimos de corazón… Esperamos que lo entiendas.
Ojalá algún unicoo universitario se anime a ayudarte (de hecho, lo ideal es que todos los universitarios intentarais ayudaros los unos a los otros).

Primero debes hacer el limite de la base (lo que está entre corchetes).. Para ello tendrás que multiplicar a numerador y denominador por el conjugado...
Te sugiero.. Limite infinito menos infinito 01
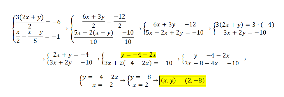
me gustaría saber que tipo de sistema de ecuaciones es este, nunca hice así, solo hice de las normales. Me gustaría saber cuales son para también practicar estas