Hola!!
No se resolver el siguiente problema:
Si tengo siete chicas en una feria q dura 4 horas Cuanto tiempo esta cada una en cada actividad Y hacen 4 actividades? Gracias!!
En 4 horas hacen 4 actividades entre todas las chicas------> 1 actividad/hora entre las 7 chicas -----> Cada chica está en cada actividad 60/7 minutos -----------> Cada chica está en cada actividad 8.57143 minutos ---------------------->
----------------> Cada una de las 7 chicas está en cada actividad 8 minutos y 34 segundos para hacer las 4 actividades de duración de 1 hora cada una

Me encantaría ayudarte, pero no respondo dudas universitarias que no tengan que ver específicamente con los videos que ya he grabado como excepcion. O de otras asignaturas que no sean matemáticas, física y química. Lo siento de corazón… Espero lo entiendas
Ojalá algun unicoo universitario se anime a ayudarte (de hecho lo ideal es que todos los universitarios intentarais ayudaros los unos a los otros)

¡Hola! Nos encantaría ayudarte, pero no solemos responder dudas universitarias que no tengan que ver específicamente con los vídeos que David ha grabado como excepción. O de otras asignaturas que no sean Matemáticas, Física y Química. Lo sentimos de corazón… Esperamos que lo entiendas.
Ojalá algún unicoo universitario se anime a ayudarte (de hecho, lo ideal es que todos los universitarios intentarais ayudaros los unos a los otros).

¡Hola! Nos encantaría ayudarte, pero no solemos responder dudas universitarias que no tengan que ver específicamente con los vídeos que David ha grabado como excepción. O de otras asignaturas que no sean Matemáticas, Física y Química. Lo sentimos de corazón… Esperamos que lo entiendas.
Ojalá algún unicoo universitario se anime a ayudarte (de hecho, lo ideal es que todos los universitarios intentarais ayudaros los unos a los otros).

¡Hola! Nos encantaría ayudarte, pero no solemos responder dudas universitarias que no tengan que ver específicamente con los vídeos que David ha grabado como excepción. O de otras asignaturas que no sean Matemáticas, Física y Química. Lo sentimos de corazón… Esperamos que lo entiendas.
Ojalá algún unicoo universitario se anime a ayudarte (de hecho, lo ideal es que todos los universitarios intentarais ayudaros los unos a los otros).
Unicoos como se resuelve Esto???? Es un verdadero o falso.Nose como separar las variables!
La solucion particular de la ecuacion y´.y sen(y∧2)-x∧2=0 que pasa por el punto (-1;0) es x∧3+3.cos y=0

¡Hola! Nos encantaría ayudarte, pero no solemos responder dudas universitarias que no tengan que ver específicamente con los vídeos que David ha grabado como excepción. O de otras asignaturas que no sean Matemáticas, Física y Química. Lo sentimos de corazón… Esperamos que lo entiendas.
Ojalá algún unicoo universitario se anime a ayudarte (de hecho, lo ideal es que todos los universitarios intentarais ayudaros los unos a los otros).
Hola unicoos, verdadero o falso:
la solucion de la ecuacion diferencial cosx.y´=-sen x/2y que pasa por el punto (0;2) es y∧2=lnIcos xI +4
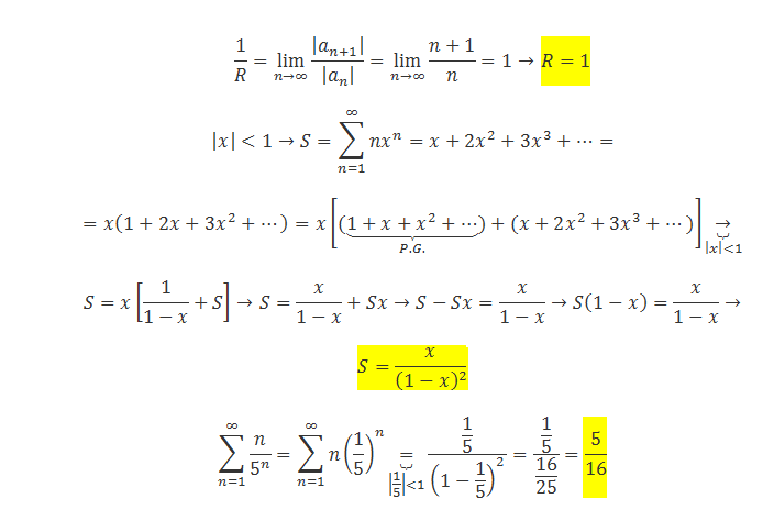
Subo lo que hice,pero nose como continuarlo

¡Hola! Nos encantaría ayudarte, pero no solemos responder dudas universitarias que no tengan que ver específicamente con los vídeos que David ha grabado como excepción. O de otras asignaturas que no sean Matemáticas, Física y Química. Lo sentimos de corazón… Esperamos que lo entiendas.
Ojalá algún unicoo universitario se anime a ayudarte (de hecho, lo ideal es que todos los universitarios intentarais ayudaros los unos a los otros).
Hola unicoos,esto es verdadero o falso??
La solucion particular de la ecuacion y´.seny= x∧2 que pasa por el punto (-1;0) es 3x∧3 + 3.cosy=0
Yo hice esto pero nose si esta bien despejado,me lo podrian corregir?

¡Hola! Nos encantaría ayudarte, pero no solemos responder dudas universitarias que no tengan que ver específicamente con los vídeos que David ha grabado como excepción. O de otras asignaturas que no sean Matemáticas, Física y Química. Lo sentimos de corazón… Esperamos que lo entiendas.
Ojalá algún unicoo universitario se anime a ayudarte (de hecho, lo ideal es que todos los universitarios intentarais ayudaros los unos a los otros).