Hola
¿Podrían ayudarme en el siguiente ejercicio que salió en selectividad de Castilla La Mancha de matemáticas de ciencias sociales?
El ejercicio es el siguiente:
4. Determina una funci´on polin´omica de segundo grado sabiendo que tiene un m´ınimo relativo en el punto (3, 2) y que la
recta tangente a dicha funci´on en el punto de abscisa x=4 es paralela a la recta y=2x+7
Muchas gracias de antemano

f(x) = ax² + bx + c
f'(x) = 2ax + b
La primera derivada igualada a cero da los puntos críticos
2ax + b = 0 ==> x = -b/(2a)
Dado que (3,2) es un punto crítico
x = -b/(2a) = 3 ==> b = -6a .....(i)
La primera derivada evaluada en el punto de tangencia da la pendiente , dado que es paralela a la recta y = 2x+7 de pendiente m=2 en el punto de abscisa 4 entonces
f'(4) = 2
8a + b = 2 ......(ii)
De (i) y (ii)
a = 1 , b = - 6
f(x) = x² - 6x + c
Como el punto (3,2) pertenece a la curva
f(3) = 2
3² - 6(3) + c = 2 ==> c = 11
La función es
f(x) = x² - 6x + 11
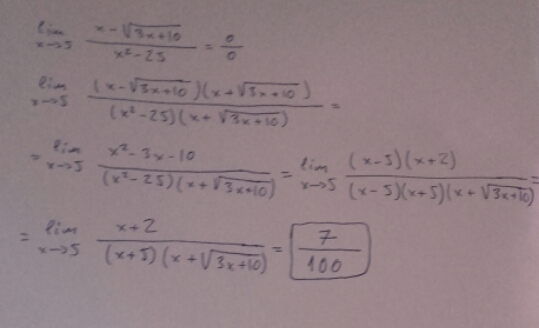
Hola! El martes tengo un examen de matemáticas sobre límites y continuidad. Y este ejercicio no me sale, alguien me podría ayudar con el A, C, E y H? (Es sobre calcular los límites)
Gracias!
h) http://www.unicoos.com/video/matematicas/1-bachiller/limites-y-continuidad/limites-0-0/limite-0-0-con-ruffini
Inténtalos y si no te salen nos mandas tu resolución y te lo corregimos.
Tienes que hacer el conjugado cuando tienes indetermnación 0/0 tal y como explica David en el vídeo:
Intenta resolverlo cuando hagas el del vídeo.
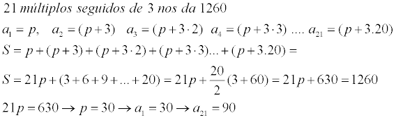
Alguien me explica paso a paso como resolver este tipo de ejercicios en los que dan la suma pero te piden hallar el primer o ultimo termino, gracias adelantadas.
Al sumar 21 múltiplos seguidos de 3 nos da 1260. En esta suma ¿cual es el primer y ultimo múltiplo de 3?
Deducimos del enunciado que:
Término_1=x=primer múltiplo
Término_2=x+3
.
.
Término_21=x+60=último múltiplo
El enunciado también nos dice "Al sumar 21 múltiplos seguidos de 3 nos da 1260".
Lo anterior da lugar a:
x+(x+3)+(x+6)+(x+9)+.............+(x+60) = 1260
Y obtenemos la ecuación:
21x+630=1260
21x=630
x=30
Sustituyendo en la deducción del principio el valor x=30 obtenemos los resultados:
Primer múltiplo=x=30
Último múltiplo=x+60= 90

La suma de 21 múltiplos consecutivos de 3 es
S = 3k + 3(k+1) + 3(k+2) + 3(k+3) + .... + 3(k+20)
Observa que los términos consecutivos se diferencian en 3 unidades por ejemplo 3 , 6 ,9 ... eso es una serie aritmética de razón 3
Una fórmula para esta serie es la siguiente
S = ( n/2)(primero + último )
siendo n el número de términos
Como ya se conoce el número de términos además la forma que tiene el primer y último término entonces está fórmula sería adecuada .
Reemplazando
1260 = (21/2)[3k + 3(k+20)]
1260 = (21)[3k + 30]
60 = 3k + 30 ==> k = 10
El primer término es 3k = 30
El último término es 3(k+20) = 90
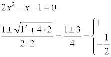
una ecuacion de segundo grado
2x^2 -x -1
x=1+-=1-4 x 2 -1/2
x1+-=1+8/2/
x=1+-=9/2 = raiz cuadrada de 9 =3
x=1+-3/2 = x = 2 x = -1
es correcto? en el libro me sale el -1 pero en la segunda x me sale como resultado 1/2.
PD. no he puesto las raices por que no se como hacerlo desde el ordenador
y=[x/(4√2x+1)]1/x
lny=ln[x/(4√2x+1)]1/x
lny=(1/x)*ln[x/(4√2x+1)]
{lny}´={ (1/x)*ln[x/(4√2x+1)] }´
y´/ y = (-1/x2)*ln[x/(4√2x+1)] + (1/x)*{ln[x/(4√2x+1)]}´
y´= { (-1/x2)*ln[x/(4√2x+1)] + (1/x)*{ln[x/(4√2x+1)]}´ } * [x/(4√2x+1)]1/x
*Te queda para completar que hagas tú la derivada {ln[x/(4√2x+1)]}´ y la incorpores resuelta en los pasos en negrita.
Si no te sale nos consultas.

Me encantaría ayudarte, pero no respondo dudas universitarias que no tengan que ver específicamente con los videos que ya he grabado como excepcion. O de otras asignaturas que no sean matemáticas, física y química. Lo siento de corazón… Espero lo entiendas
Ojalá algun unicoo universitario se anime a ayudarte (de hecho lo ideal es que todos los universitarios intentarais ayudaros los unos a los otros)
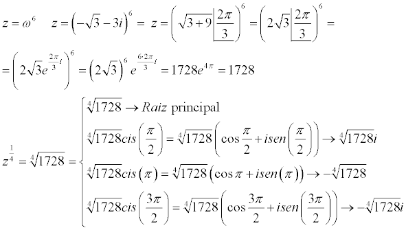
un ayudita aca, tengo una duda al sacar el argumento por que me queda 3/(raiz de 3) y en eso estoy complicado

Hola el asunto está en que no estás operando correctamente , recuerda la ley de signos (-)(-)=(+)
Sería así :
= 8/3 - 2(-2/3)
= 8/3 + 4/3
= 12/3
=4
Observa que (-2)(-2/3) = + 4/3
allí justamente aplicas la ley de signos (-)(-) = (+) ese es el detalle por el que no te da la respuesta