Foro de preguntas y respuestas de Matemáticas

logo beUnicoos
Los foros de unicoos se han unificado en nuestra nueva plataforma beUnicoos. Para dejar nuevas preguntas deberás hacerlo allí, donde además podrás encontrar nuevas asignaturas y herramientas para ayudarte más con tus estudios.

  • icon

    Miguel Moral
    el 25/5/17

    Sea la función f(x)= (3×+3)/(×^2-×-2). Dicha función puede simplificarse en 3/(x-2). Sin embargo, la función original no está definida en ×=2 y x=-1, y la simplicada solo en x=2. ¿Qué ocurre en el punto x=1, es continua, evitable, qué pasa exactamente en ese punto? Gracias de antemano.

    replythumb_up0 voto/sflag
    icon

    César
    el 25/5/17


    thumb_up1 voto/sflag
  • icon

    noemi
    el 25/5/17

    ME PODRIAN RESOLVER ESOS DOS EJERCICIOS PORFAVOR SON URGENTES GRACIAS


    replythumb_up0 voto/sflag
    icon

    César
    el 25/5/17

    aqui va revisalo (operaciones)

    thumb_up1 voto/sflag
    icon

    noemi
    el 25/5/17

    muchas gracias tambien podria darme el e jercicio 4 y el apartado b de el ejercicio 3


    thumb_up0 voto/sflag
  • icon

    Inconnu
    el 25/5/17

    Aconsejádme con video de optimización de funciones( beneficio,tiempo...)2 bachillerato

    replythumb_up0 voto/sflag
    icon

    César
    el 25/5/17

    icon

    Antonius Benedictus
    el 25/5/17

  • icon

    Aitor
    el 25/5/17

    Buenas tardes, 

    En un ejercicio de series y sucesiones, esto dice el enunciado: encuentre la suma de esta serie convergente 


    replythumb_up0 voto/sflag
    icon

    Antonius Benedictus
    el 25/5/17


    thumb_up1 voto/sflag
    icon

    Aitor
    el 25/5/17

    Eskerrik asko Antonio

    thumb_up0 voto/sflag
    icon

    Antonius Benedictus
    el 25/5/17

     Ezer ez, lagunik.

    thumb_up1 voto/sflag
  • icon

    Adrián
    el 25/5/17

    Muchas gracias

    replythumb_up0 voto/sflag
    icon

    Antonius Benedictus
    el 25/5/17

    Corrige, Adrián:


    thumb_up0 voto/sflag
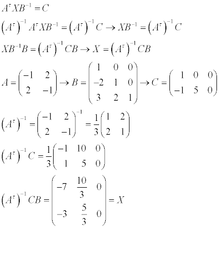
  • icon

    Iñigo Dalmau
    el 25/5/17

    Mi problema es básicamente con el paso de (x-1)(e^x)-(x-1)=0 → (x-1)(e^x -1)=0

    Gracias por la ayuda


    replythumb_up0 voto/sflag
    icon

    Guillem De La Calle Vicente
    el 25/5/17

    Sacando factor común (x-1), te queda lo de la derecha. Simplemente es sacando factor común.


    thumb_up1 voto/sflag
  • icon

    Adrián
    el 25/5/17

    Esta bien?  Muchas gracias

    replythumb_up0 voto/sflag
    icon

    Antonius Benedictus
    el 25/5/17

    La raíz de x solo da valores positivos.

    El área está correctamente calculada.

    thumb_up0 voto/sflag
  • icon

    jhonatan
    el 25/5/17
    flag


    replythumb_up0 voto/sflag
    icon

    Antonius Benedictus
    el 26/5/17

    Ojalá algún unicoo universitario se anime a ayudarte (de hecho, lo ideal es que todos los universitarios intentarais ayudaros los unos a los otros).

    thumb_up0 voto/sflag
  • icon

    jhonatan
    el 25/5/17
    flag

     Las dos primeras calificaciones de los exámenes de Ana, Bruno, Cristóbal y David se muestran en la tabla. Utilícela para generar una matriz M que represente los datos. Ingrese esta matriz en una hoja de Excel para responder a las siguientes preguntas. 



    EXAMEN 1EXAMEN 2ANA8496BRUNO5672CRISTOBAL7883DAVID8291

    A. CUAL DE ESTOS EXAMENES ES MAS DIFICILES?

    B. CUAL DE ESTOS EXAMENES ES MAS FACIL?

    C. DESCRIBA EL SIGNIFICADO DE LAS MATRICES PRODUCTO  M(1  0) y M(0  1)

    D. DESCRIBA EL SIGNIFICADO DE LAS MATRICES PRODUCTO (10 0 0)M y (0 0 1 0)M

    replythumb_up0 voto/sflag
    icon

    LanzaDardos
    el 25/5/17

    a. el 2º

    b. el 1º

    c. las notas del primer examen, las del segundo

    d. las notas de Ana, la de Cristobal

    thumb_up0 voto/sflag
  • icon

    Rodrigo M
    el 25/5/17
    flag

    Hola,tengo unas  graaandes duda ¿Cómo consigo la transformación lineal si me dan las 2 bases(B1 y B2) y la Matriz Representante con respecto a B1 y B2 o si me dan la Matriz de Cambio de Base de B1 a B2?, en el link tengo un ejercicio(el 3.) que quizás explique mejor lo que no entiendo jajaja :c, Disculpen las molestias

    http://subefotos.com/ver/?6b1d26970b3a7c3e0d069114f2d14db6o.jpg

    replythumb_up0 voto/sflag
    icon

    Antonius Benedictus
    el 26/5/17

    Ojalá algún unicoo universitario se anime a ayudarte (de hecho, lo ideal es que todos los universitarios intentarais ayudaros los unos a los otros).

    thumb_up0 voto/sflag