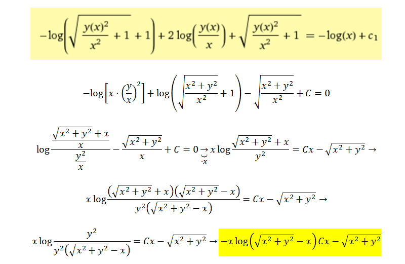
Podrian ayudarme en demostrar que esta es la respuesta:
De esta Ecuación Diferencial, así sabré si el libro tiene un error.

¡Hola! Nos encantaría ayudarte, pero no solemos responder dudas universitarias que no tengan que ver específicamente con los vídeos que David ha grabado como excepción. O de otras asignaturas que no sean Matemáticas, Física y Química. Lo sentimos de corazón… Esperamos que lo entiendas.
Ojalá algún unicoo universitario se anime a ayudarte (de hecho lo ideal es que todos los universitarios intentarais ayudaros los unos a los otros).
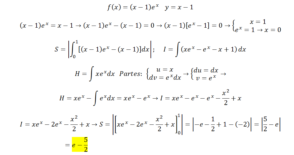
Calcular el área comprendida entre la curva y = (x − 1)ex y la recta y = x − 1.
Llevo horas dando vueltas a este ejercicio. (MODELO EVAU 2017 UCM, MATEMÁTICAS II, OPCIÓN A; EJERCICIO 4)
Tengo problemas para llegar a ver que al igualar (x-1)(e^x)=(x-1), las soluciones son x=0;x=1. Es obvio que al tratarse de una integral definida limitada por dos funciones, debería tener al menos dos puntos de corte, pero no acabo de entender la resolución.
Ojalá podáis echarme una mano con algún paso. Muchas gracias.
¿Es cierta la conjetura siguiente? [Indicación. ¿Falla para algún valor de k?]
Conjetura sobre los números primos
Los números Ek definidos por
Ek=1·2·3·5·...·pk+1,
donde pk es el k-esimo número primo, es un número primo.
me podeis ayudar con este ejercicio? mi problema está en sacar los datos, las coordenadas, lo que es la ecuación circunferencia la se.
el problema dice: calcula la ecuación de la circunferencia circunscrita a un triangulo cuyos vértices están sobre las rectas x=0 y=0 y x+y-4= 0.