Hola, he estado viendo los vídeos de distribución normal, los relacionados con calcular las muestras y los intervalos de confianza; pero me he encontrado con este ejercicio y no sé cómo hacerlo:
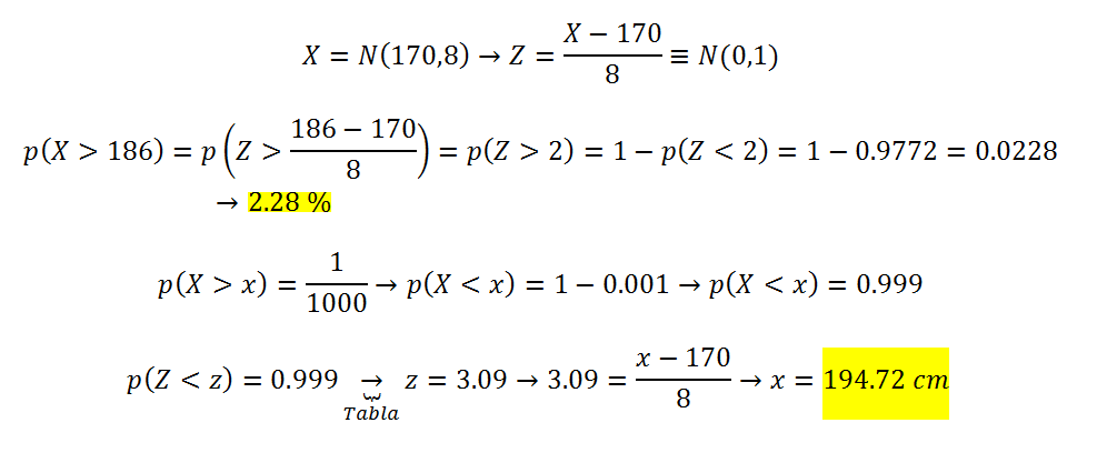
La población masculina española tiene una altura media de 170cm con desviación típica de 8 cm; los colchones de tamaño estándar son de 186 cm. a) ¿Qué porcentaje de hombres tendrá problemas a la hora de comprar una cama a su medida? b) Un fabricante pone a la venta colchones para personas muy altas de manera que sólo uno por mil de los hombres les quede pequeño. ¿Cuál debe ser la longitud del colchón?
Gracias por vuestra atención

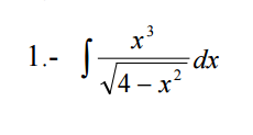
Puedes plantear la sustitución (cambio de variable):
x = 2senw (1), de donde tienes: dx = 2cosw*dw,
y también tienes:
√(4 - x2) = √(4 - 4sen2w) = √( 4(1 - sen2w) = √(4cos2w) = 2cosw,
x3 = (2senw)3 = 8sen3w.
Luego sustituyes y la integral del enunciado queda:
I = ∫ (8sen3w / 2cosw)*2cosw*dw = 8*∫ sen3w*dw = 8*∫ sen2w*senw*dw =
= 8*∫ (1 - cos2w)*senw*dw;
aquí aplicas la sustitución: p = cosw (2), de donde tienes dp = - senw*dw y luego: - dp = senw*dw,
sustituyes y queda:
I = 8*∫ (1 - p2)*(-dp) = - 8*∫ (1 - p2)*dp = -8*(p - p3/3) + C = - 8p - (8/3)p3 + C.
Luego, a partir de la ecuación señalada (2) sustituyes y queda:
I = - 8*cosw - (8/3)*cos3w + C.
Luego, a partir de la ecuación señaada (1) despejas: arcsen(x/2) = w, sustituyes y queda:
I = - 8*cos(arcsen(x/2)) - (8/3)*cos3(arcsen(x/2)) + C.
Espero haberte ayudado.
¡Buenas tardes!
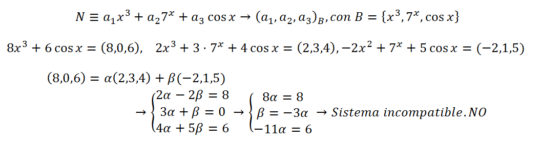
He hecho este ejercicio pero no estoy segura del resultado. He puesto que no es CL porque las dos primeras ecuaciones se cumplen para los valores obtenidos pero la tercera ecuación no se cumple. Alguien me podría decir si es correcto? ¡Muchas gracias!
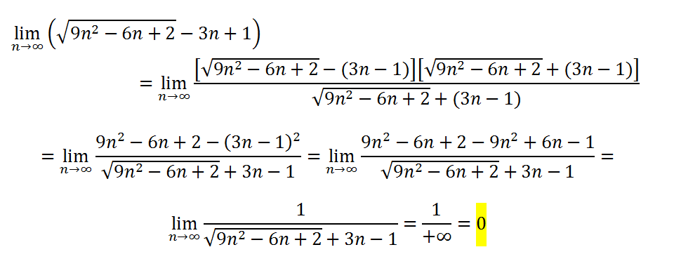
Me podrían ayudar con este límite, he visto los videos y no consigo resolverlo, el resultado tiene que ser 0. Gracias

Me encantaría ayudarte, pero no respondo dudas universitarias que no tengan que ver específicamente con los videos que ya he grabado como excepcion. O de otras asignaturas que no sean matemáticas, física y química. Lo siento de corazón… Espero lo entiendas
Ojalá algun unicoo universitario se anime a ayudarte (de hecho lo ideal es que todos los universitarios intentarais ayudaros los unos a los otros)
Hola estaba haciendo unos ejercicios de limites y tengo una pregunta: si tengo un denominador a lo 2+raíz cuadrada de (x+2) despues de haber comprovado que es una indeterminacion, en vez de multiplicar por el conjugado, se puede entrar el 2 que esta sumando dentro de la raiz quedandose dentro de la raíz x+2+4=x+6
Muchas gracias