Foro de preguntas y respuestas de Matemáticas

logo beUnicoos
Los foros de unicoos se han unificado en nuestra nueva plataforma beUnicoos. Para dejar nuevas preguntas deberás hacerlo allí, donde además podrás encontrar nuevas asignaturas y herramientas para ayudarte más con tus estudios.

  • icon

    Patri Lopez
    el 13/5/17

    alguien puede ayudarme a encontrar el error?? Un saludo y muchas gracias 🤗

    replythumb_up0 voto/sflag
    icon

    Axel Morales Piñón.
    el 13/5/17


    thumb_up0 voto/sflag
  • icon

    lbp_14
    el 13/5/17

    Hola unicoos;

    Por qué un número dividido entre infinito da 0 y un número dividido entre 0 da infinito?

    Muchas gracias.

    replythumb_up0 voto/sflag
    icon

    Ángel
    el 13/5/17

    número dividido entre infinito da 0: Imagina dividir un pastel (o unos cuantos) entre toda la humanidad y todos los extraterrestes juntos :D.....tocaríamos a una migaja...aproximadamente cero, no?


    número dividido entre 0 da infinito: Imagina dividir esos pasteles en "microhuecos", tan micro que ni son huecos....tendríamos que dividir ese pastel (o pasteles) en infinitas migajas


    ¿Pillas?


    thumb_up1 voto/sflag
  • icon

    Gusty
    el 13/5/17

    Hola hay videos sobre Transformacion Lineal? Bases,Núcleo,imagen,polinomio caracteristicos

    replythumb_up0 voto/sflag
    icon

    Antonius Benedictus
    el 13/5/17

    Me temo que no, Gusty.

    thumb_up0 voto/sflag
  • icon

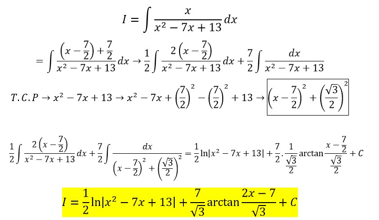
    Patri Lopez
    el 13/5/17

    alguien me puedo ayudar con esta integral??? Gracias un saludo  🤗🤗🤗

    replythumb_up0 voto/sflag
    icon

    Axel Morales Piñón.
    el 13/5/17


    thumb_up0 voto/sflag
    icon

    Patri Lopez
    el 13/5/17

    No entiendo como lo haces  😅 pero gracias 😊

    thumb_up1 voto/sflag
    icon

    Patri Lopez
    el 13/5/17

    Esque no podría ser en vez de poner la raíz de tes partido de 2 todo al cuadrado poner  3/4 no sería lo mismo? Esque yo he hecho lo mismo y no me sale eso 

    thumb_up0 voto/sflag
    icon

    Axel Morales Piñón.
    el 13/5/17

    No, por que no se daría la estructura del arcotangente. 

    thumb_up0 voto/sflag
    icon

    Axel Morales Piñón.
    el 13/5/17

    ¿Qué no entiendes? Es simple álgebra.

    thumb_up1 voto/sflag
    icon

    Patri Lopez
    el 13/5/17

    Ya está ya está muchas gracias. Que era un fallo que tenía que no me había dado cuenta. 

    thumb_up0 voto/sflag
  • icon

    Mireia
    el 13/5/17

    Hola, buenas tardes!! Tengo una duda sobre integrales, me gustaría saber porque esta se hace con f(x)n• f'(x) si no se está multiplicando.




    replythumb_up0 voto/sflag
    icon

    Axel Morales Piñón.
    el 13/5/17

    No entiendo tu inquietud Mireia. ¿Qué necesitas? 

    thumb_up1 voto/sflag
    icon

    Mireia
    el 13/5/17

    Por ejemplo, en el apartado e) de este ejercicio, ya deduzco que se tiene que utilizar f(x)n• f'(x) → f(x)n+1⁄ n+1  +k , pero en el ejercicio que he enviado antes no entiendo porque lo hace con esa fórmula y además encuentra la derivada primero, en este ejercicio último ya te la dan.



    thumb_up1 voto/sflag
    icon

    Antonius Benedictus
    el 13/5/17

    Por eso introduce el factor 5 multiplicando y lo compensa multiplicando afuera por (1/5).

    Esto solo se puede hacer con factores constantes.

    thumb_up2 voto/sflag
  • icon

    Manuel Rodríguez Castilla
    el 13/5/17
    flag

    Sólo una observación: hay un lapsus en el video de "Tasa de variación media". El denominador es 3 y la fracción de la solución 15/3 = 5.

    replythumb_up0 voto/sflag
    icon

    Ángel
    el 13/5/17

    thumb_up1 voto/sflag
    icon

    Ángel
    el 13/5/17

    Lapsus corregido :D :D 

    thumb_up1 voto/sflag
  • icon

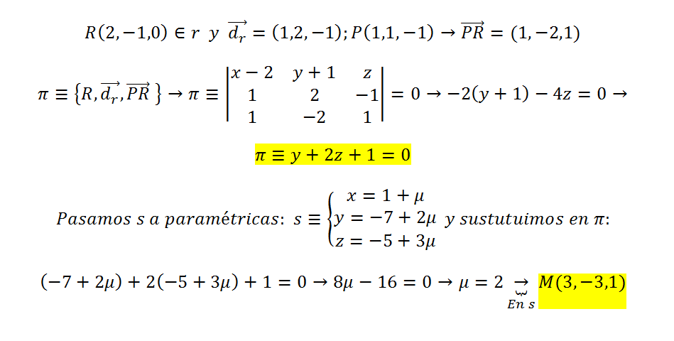
    Andres Montoro Menor
    el 13/5/17

    Pueden mirar si tengo bien el apartado a de este ejercicio? 


    replythumb_up0 voto/sflag
    icon

    Antonius Benedictus
    el 13/5/17


    thumb_up0 voto/sflag
    icon

    Andres Montoro Menor
    el 13/5/17

    No entiendo, por que como yo lo hago no esta bien?

    thumb_up0 voto/sflag
    icon

    Antonius Benedictus
    el 13/5/17

    En el plano que te pide no tiene nada que ver la recta s.

    thumb_up0 voto/sflag
  • icon

    Manuel Molina
    el 13/5/17

    Como hago este ejercicio? El 77

    replythumb_up0 voto/sflag
    icon

    Antonius Benedictus
    el 13/5/17


    thumb_up0 voto/sflag
  • icon

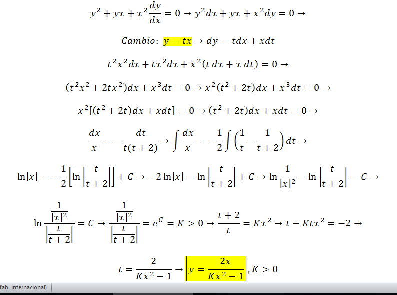
    Alex Domínguez
    el 13/5/17
    flag

    Hola, como puedo hacer la siguiente diferencial homogenea?


    replythumb_up0 voto/sflag
    icon

    Antonius Benedictus
    el 13/5/17


    thumb_up0 voto/sflag
  • icon

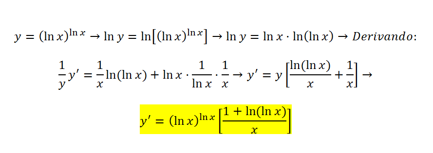
    anaespo
    el 13/5/17

    ¿cómo se hace la derivada de esta función?

    replythumb_up0 voto/sflag
    icon

    Mariña Prego
    el 13/5/17

    y'= lnx (1/x) (lnx)lnx-1

    =[ lnx (lnx)lnx-1] /x

    thumb_up0 voto/sflag
    icon

    Antonius Benedictus
    el 13/5/17

    Mariña, cumpre facer derivación logarítmica:


    thumb_up1 voto/sflag
    icon

    anaespo
    el 13/5/17

     no entiendo como pasas de In(In x) a 1/(Inx) por 1/x

    thumb_up0 voto/sflag
    icon

    Antonius Benedictus
    el 13/5/17

    Derivando, Ana, por la regla de la cadena.

    thumb_up0 voto/sflag