Me podrian ayudar con esto:
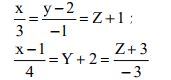
Determine si las rectas se cortan y en caso afirmativo, hallar el punto de intersección y el coseno del ángulo de intersección (el ejercicio 2).

Posición relativa de dos rectas en R³
El ángulo de dos rectas es el menor de los ángulos determinados pos sus respectivos vectores directores. Usa el producto escalar en valor absoluto.
Buenas noches, no se como seguir:
se me da el SEL y se me pide los valores para los que resulta compatible determinado. calculando el determinante quedan 2 polinomios con k²
hola
hola alguno entiende este ejercicio ?
Suponga que 3 ≤ 𝑓′(𝑥) ≤ 5 para todo valor de 𝑥. Demuestre que 18 ≤ 𝑓(8) − 𝑓(2) ≤ 30.
Aplicando el teorema del valor medio o de Lagrange
f(x) cumple las hipótesis tomando a=8 y b=2 pues
f(x) es continua en [2,8] pues es derivable en todo ℛ
f(x) es derivable en (2,8) pues es derivable en todo ℛ
por lo tanto existe un punto c ∈ (2,8) tal que f'(c)=(f(8)-f(2))/(8-2) => 6f'(c)=f(8)-f(2)
por otro lado sabemos que 3 ≤ 𝑓′(c) ≤ 5 y multiplicando por 6 obtenemos 18 ≤ 6𝑓′(c) ≤ 30
y, por último, sustituyendo 18 ≤ f(8)-f(2) ≤ 30